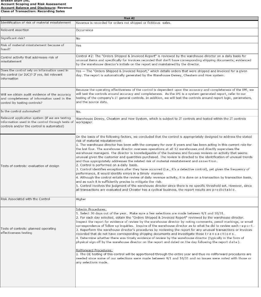
Question: Broken Stuff Inc.s Controls Broken Stuff Inc. (Broken Stuff or Broken) is a public company in the U.S. that files quarterly and annual reports with
Broken Stuff Inc.s Controls Broken Stuff Inc. (Broken Stuff" or Broken) is a public company in the U.S. that files quarterly and annual reports with the SEC. Broken has twelve manufacturing facilities located in Texas, Oklahoma, and Alabama which produces and provides substandard cabinets to customers throughout the Midwest and South via rail car. Broken sells their cabinets to customers under freight on board (FOB) shipping point terms. Therefore, revenue is recorded when goods are shipped from the respective warehouse. Broken currently uses a sophisticated warehouse management system (the Dewey, Cheatem, and How System), which allows the Company to (1) record sales upon shipment of goods out of the warehouse, (2) automatically price cabinet sales on the basis of standard pricing tables, and (3) generate multiple reports for the evaluation of Brokens operations. Engagement Team Note: Materiality was determined to be $4.05 million. In planning the current years audit, the engagement team obtained an understanding of the internal controls related to revenue. This understanding was donethrough the engagement teams walkthrough of the revenue process. As part of their walkthrough procedures the engagement team made inquiries of appropriate personnel, inspected relevant documentation and in certain cases observed the control performers performing the control procedures. As a result, the engagement team arrived at the conclusion that there have been no significant changes in the revenue process since the prior year. Furthermore, the engagement team has determined that they will not be using the work of others for testing the operating effectiveness of controls related to revenue. The engagement team identified three risks of material misstatement relating to the recording of sales. For each risk identified, the team documented in the excerpted worksheet (see Handout 1) the control activity that addresses the risk of material misstatement, the evaluation of the design of that control activity, and the planned testing of operating effectiveness. Required: 1. What are the key considerations when evaluating the design of internal controls in conjunction with a financial statement audit? 2. What are the key considerations when testing of the operating effectiveness of internal controls in conjunction with a financial statement audit? 3. What are the key considerations in determining what additional audit evidence to obtain about controls operating during the roll-forward period? 4. What are the key considerations when evaluating the severity of a deficiency in a control that directly addresses a risk of material misstatement? Brokens Controls Page 2 5. For each of the three revenue risks identified by the engagement team, address the following: a. Was the engagement teams assessment of the evaluation of the design of each control appropriate (i.e., does the control identified by the team address the specific risk of material misstatement and associated assertion)? b. Was the engagement teams assessment of the risk associated with each control appropriate? c. Was the teams interim planned procedures to test the operating effectiveness of each control appropriate considering the risk associated with the control? d. Was the teams roll-forward planned procedures to test the operating effectiveness of each control appropriate considering the risk associated with the control?



Broken Stuff Inc. Account Scoping and Risk Assessment Account Balance and Disclosure: Revenue Class of Transaction: Recording Sales Risk #1 Identification of risk of material misstatement Relevant assertion Significant risk? All orders shipped are not recorded as revenue. Completeness. No No. Risk of material misstatement because of fraud? Control activity that addresses risk of material misstatement Control #1: Sales are automatically recorded and invoices are automatically generated upon the release of the order in the Warehouse Dewey, Cheatem and How System. Orders are not released until the goods have been confirmed for shipping in the system which occurs when the goods are scanned as they are loaded in the shipping area). No. Does the control rely on information used in the control (or IUC)? If yes, list relevant information N/A Will we obtain audit evidence of the accuracy and completeness of information used in the control by testing controls? Is the control automated? Yes. Relevant application system (if we are testing Warehouse Dewey, Cheatem and How System, which is subject to IT controls performed by management and information used in the control through tests of tested within the IT controls workpaper. controls or the control is automated) On the basis of the following factors, we concluded that the control is appropriately designed to address the stated risk of material misstatement: 1. The control is the automation of the invoicing of goods shipped as the system will automatically record revenues when goods are shipped from the warehouse (revenue generating activity), thus resulting in no shipped goods going unrecorded in the system that appropriately addresses the related risk of material misstatement and assertion. trol prevents errors from occurring as opposed to identifying them once they have occurred (preventive control). 3. Control operates at the transaction level and, as such, is sufficiently precise to mitigate the risk. 4. Control is performed on a continual basis and thus addresses the risk directly and for the period under audit. 15. There are no historical issues with the operation of the control and the control has not been modified in the period under audit. Tests of controls: evaluation of design Risk Associated with the Control Not Higher Interim Procedures (test as of 7/30): 1. We will verify the understanding through testing of general IT controls; I.e., program change controls, to assess if there have been any changes to the control since the previous year. 2. In addition, we will perform standard sample testing of any program changes to the control to ensure the control is operating effectively. Tests of controls: planned operating effectiveness testing Rollforward Procedures: 1. Make inquiries of the controller and the IT manger to determine if any events have occurred that might impact the design or operation of the control (e.g., changes, additional risks, operating deficiencies) after our interim testing date. If any significant changes are noted, retest control per interim procedures
Step by Step Solution
There are 3 Steps involved in it
Get step-by-step solutions from verified subject matter experts
