Question: BSBRSK501 - Task 2.5 Develop a risk management plan (continuation of task 2.1) Your risk management plan should include: ? The risks you have identified
BSBRSK501 - Task 2.5 Develop a risk management plan (continuation of task 2.1)
Your risk management plan should include:
? The risks you have identified based on your research session. You must include at least five risks.
? An assessment of the likelihood of the risk occurring, as well as the severity of the risk should it occur.
? Identification of at least one suitable treatment measure for each of the five risks Priority rating (high, medium or low) to show the order in which risks must be treated.
? A risk action plan that sets out for each risk including:
Risk description
Impact of risk
Recommended actions
Resource requirements
Timelineso
Responsibilities
Monitoring processes
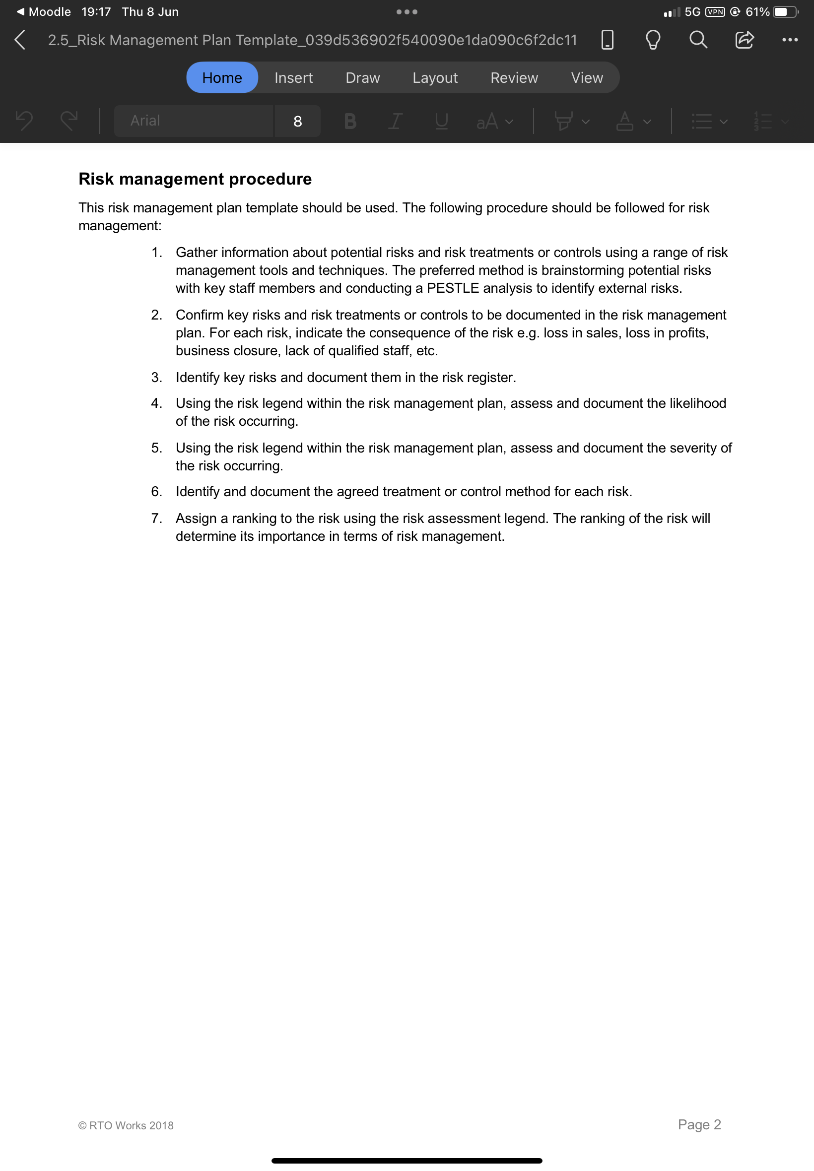
I have attached my team meeting minutes and the risk management plan template as images, below.







Present: All Staff Apologies: None Purpose of meeting: Discuss new business expansion project Summary of key points 1 . The new business expansion being the establishment of new retail outlets in Brisbane, Melbourne and Sydney was discussed. 2. The CEO outlined the timelines, with the establishment of the retail outlets as being commenced in June. 3 . The Marketing team advised that market research conducted indicates that consumers welcome the ability to be able to try out and buy products at the new retail store and the planned CBD location is also suitable although they would also like further outlets over time in suburban areas. 4. The Sales Manager advised that it would be important to discuss the planned expansion to the health food chain as up to now the supply of products in a retail environment had been exclusive and that this was written into the original contract. Thus, the contract would need to be renegotiated. 5 . The Operations Manager reported on the budget that has been allocated to the expansion. There are sufficient funds but there will be very little margin for overrun, if any. 6. One of the Customer Service Representatives wondered if there would be any obligation to work directly in store as he is very happy with the existing location being the office that is part of the factory. The CEO advised that new staff would be recruited as retail assistants. However, there was some doubt about who would manage stores as they are very keen to have Managers who have a very strong knowledge of the company and its products at least initially. DTn \\lnrlzc 901R Moodle 19:16 Thu8Jun --- n SG-@81%-
Step by Step Solution
There are 3 Steps involved in it
Get step-by-step solutions from verified subject matter experts
