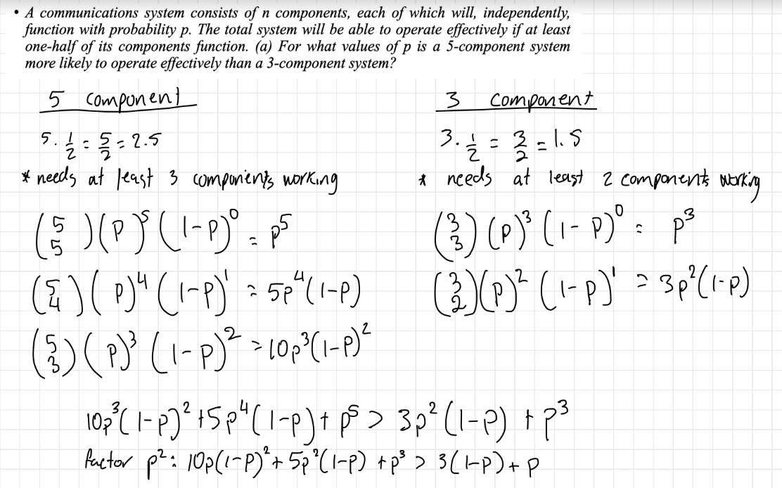
Question: Buses arrive at a specified stop at 15-minute intervals starting at 7 A.M. That is, they arrive at 7, 7:15, 7:30, 7:45, and so


Buses arrive at a specified stop at 15-minute intervals starting at 7 A.M. That is, they arrive at 7, 7:15, 7:30, 7:45, and so on. If a passenger arrives at the stop at a time that is uniformly distributed between 7 and 7:30, find the probability that he waits (a) less than 5 minutes for a bus; (b) at least 12 minutes for a bus. x = [0 30] = [3,2] a. less than 5 min for a bus 7:10 7:25 , P(10 < x
Step by Step Solution
There are 3 Steps involved in it
Get step-by-step solutions from verified subject matter experts
