Accounting Questions and Answers July 23, 2012

Expert-verified solutions to help you succeed

Showing 1 - 100 of 1505
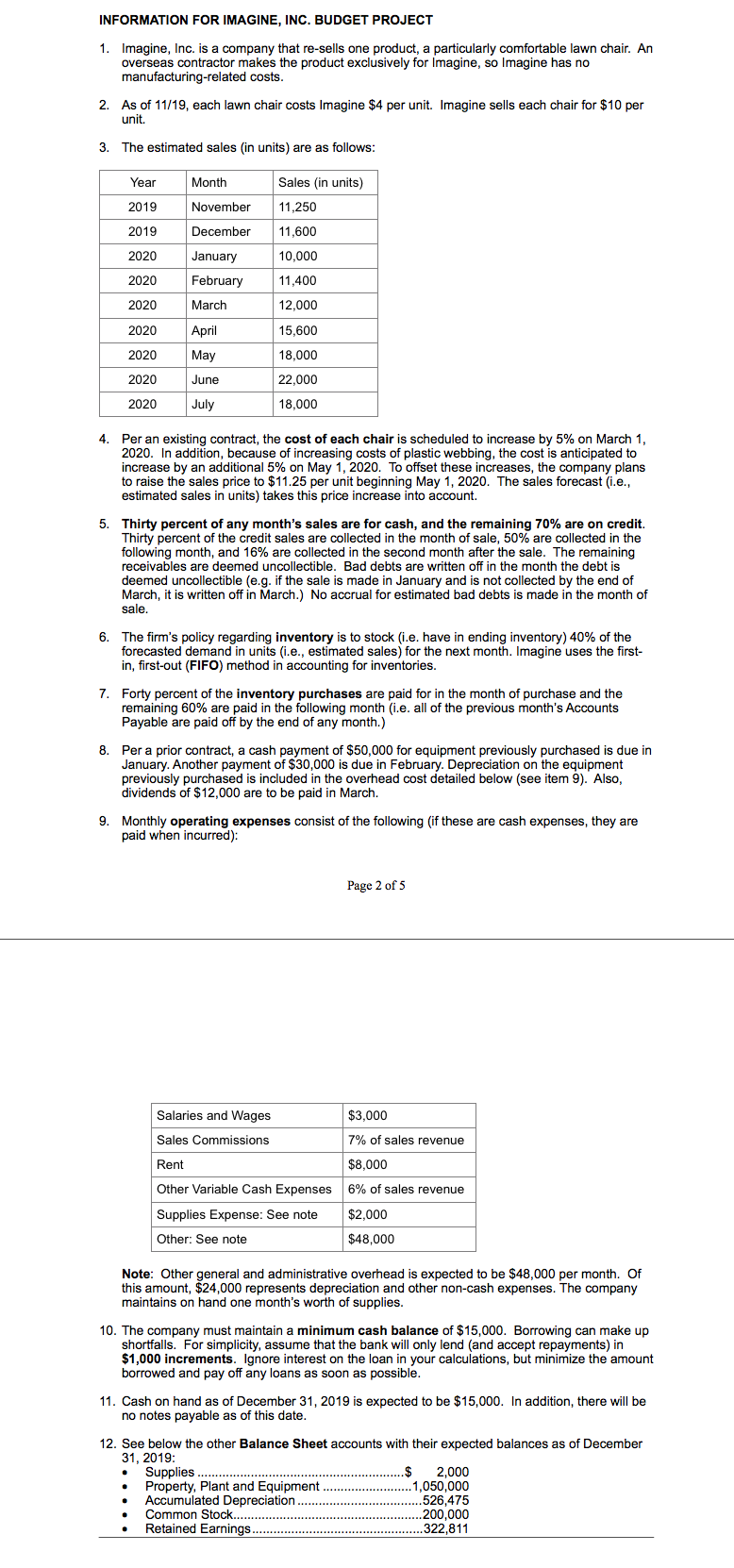
  • 1 / 16