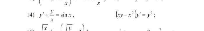
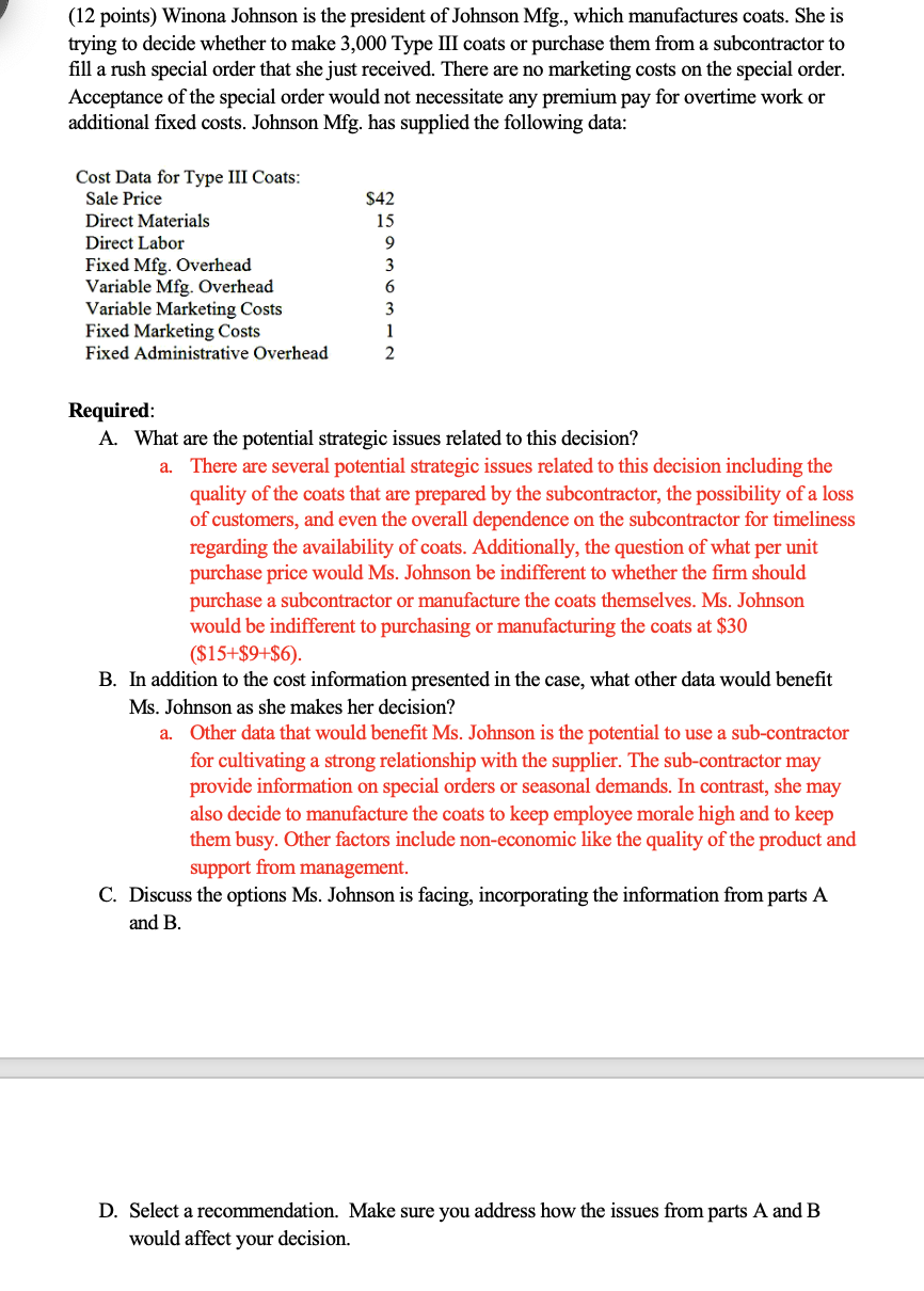
Accounting Questions and Answers October 1, 2012

Expert-verified solutions to help you succeed

Showing 100 - 200 of 1506
  • 2 / 16