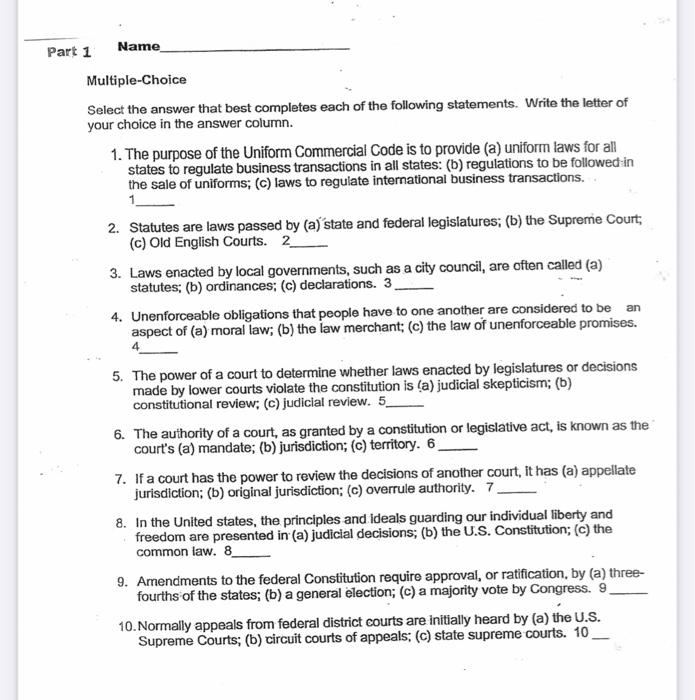
Question: business law Part 1 Name Multiple-Choice Select the answer that best completes each of the following statements. Write the letter of your choice in the
business law
Step by Step Solution
There are 3 Steps involved in it
1 Expert Approved Answer
Step: 1 Unlock
Question Has Been Solved by an Expert!
Get step-by-step solutions from verified subject matter experts
Step: 2 Unlock
Step: 3 Unlock
