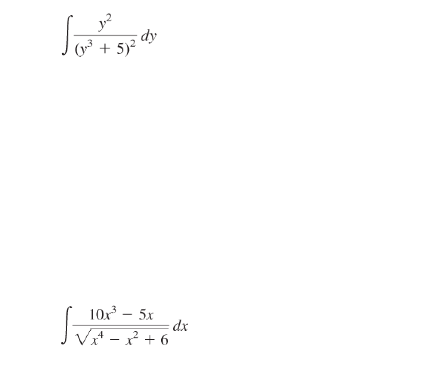
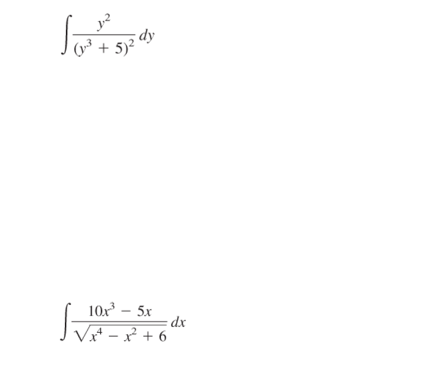
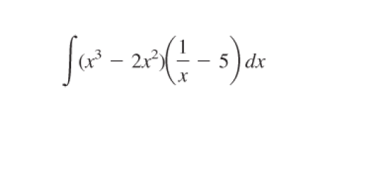
Question: C + 5)2 dy 10x3 - 5x dx Vx - x- + 63 - 2x2 - 5) dx2. (30 Points) Determine the specified integrals and






C + 5)2 dy 10x3 - 5x dx Vx - x- + 63 - 2x2 - 5) dx2. (30 Points) Determine the specified integrals and verify the accuracy of your solutions by performing differentiation. x+ 2x + 1 -dx x2
Step by Step Solution
There are 3 Steps involved in it
Get step-by-step solutions from verified subject matter experts
