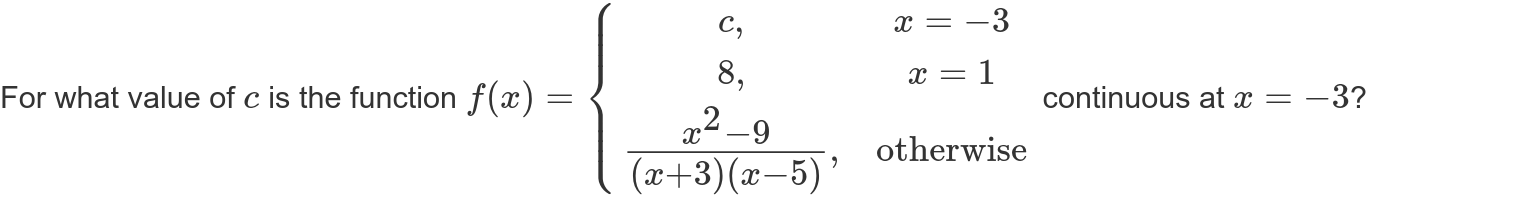
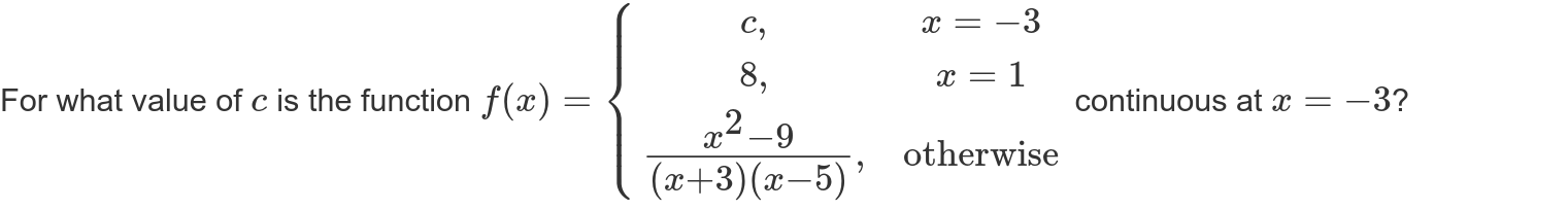
Question: C, C = 3 8 , x = 1 For what value of c is the function f (a ) = continuous at x =


C, C = 3 8 , x = 1 For what value of c is the function f (a ) = continuous at x = -3? 2_9 (2 +3) (20-5)' otherwise
Step by Step Solution
There are 3 Steps involved in it
Get step-by-step solutions from verified subject matter experts
