Question: c++ please COMP 53: Algorithm Analysis, Part 1 Instructions: In this lab, we are going to review Constant time opcrations, growth of functions, complexity and


c++ please
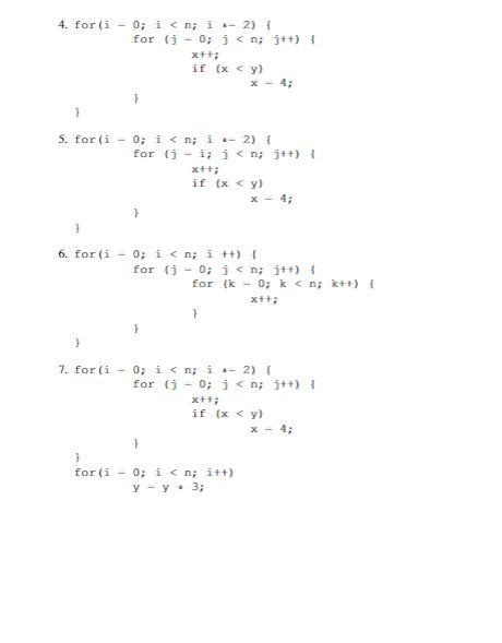
COMP 53: Algorithm Analysis, Part 1 Instructions: In this lab, we are going to review Constant time opcrations, growth of functions, complexity and big O notation. - Get into groups of at most two people to accomplish this lah. - At the top of your submitted file list the group members as a comment. - Each member of the group must individually submit the lab in Canvas. - This lab includes 49 points in aggregate. The details are given in the following. 1 Constant time operations Specify whether the following operations are constant time or non-constant time. 1. int x5; int. yx; 2. if (x
Step by Step Solution
There are 3 Steps involved in it
Get step-by-step solutions from verified subject matter experts
