Question: C++ problem. Not sure were to start? Any help would be very much appreciated. a) Convert the following 2 numbers to binary, octal and hex.
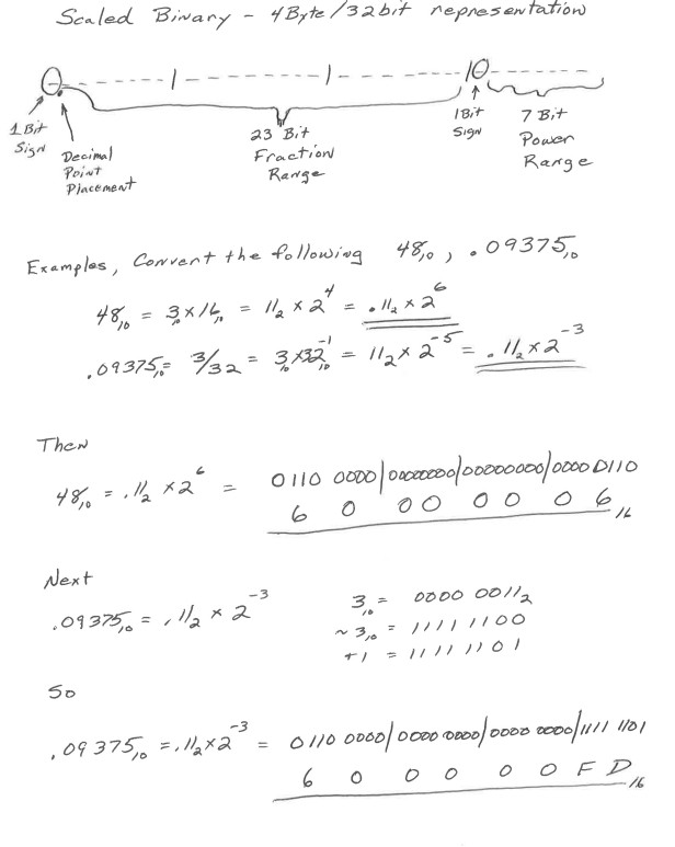
C++ problem. Not sure were to start? Any help would be very much appreciated. a) Convert the following 2 numbers to binary, octal and hex. 2.875, 0.1796875 When done, convert the following to a float representationby the definition in class. In other words, I want an 8 digit hex number representation using the 4 byte float specification defined in class. An example .pdf is attached for you to review. b) Do the same for a) given they are negative values. c) Convert the float representations of the following into the decimal number given the definition in class. 59999901, 59999902, A66667FE Note: This doesn't require a program, however, I want you to write a simple function that outputs the answers you did by hand with "cout".
wan .t Fraction Piacemen , 013 ,-33a=31//22"-.14x 33 a- 313,//2" a -. /4 xa Thew ex 09 375/0 =.ax a o1/0 ODODI DODO ODoo)oooo oooo!!! / / //d / =
Step by Step Solution
There are 3 Steps involved in it
Get step-by-step solutions from verified subject matter experts

by the definition in class. In other words, I want an 8 digit hex number representation using the 4 byte float specification defined in class. An example .pdf is attached for you to review. b) Do the same for a) given they are negative values. c) Convert the float representations of the following into the decimal number given the definition in class. 59999901, 59999902, A66667FE Note: This doesn't require a program, however, I want you to write a simple function that outputs the answers you did by hand with "cout".