Question: C Program 4-(30p) f(0) =k+x) x (x Write a program to calculate result of f(x) function. Value of x and z are entered by keyboard
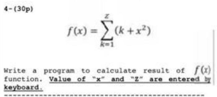
4-(30p) f(0) =k+x) x (x Write a program to calculate result of f(x) function. Value of "x" and "z" are entered by keyboard
Step by Step Solution
There are 3 Steps involved in it
Get step-by-step solutions from verified subject matter experts
