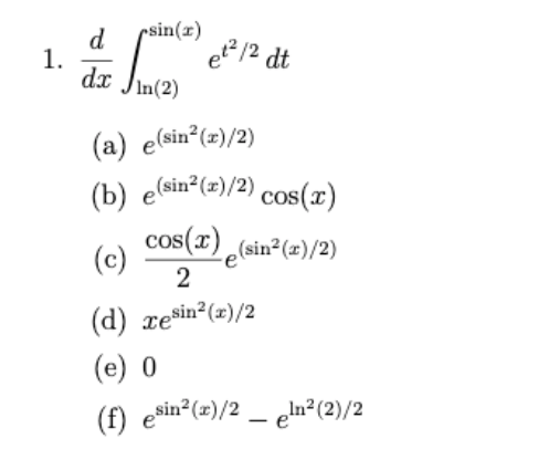
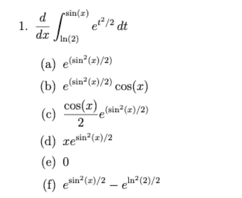
Question: CALC QUESTION From the options, pick the equivalent expression to the one given in 1. d sin(I) 1. eth /2 dt dx JIn(2) (a) e(sin?(x)/2)

CALC QUESTION
From the options, pick the equivalent expression to the one given in 1.

d sin(I) 1. eth /2 dt dx JIn(2) (a) e(sin?(x)/2) (b) e(sin?(z)/2) cos(I) (c) COS (T) (sin?(z)/2) 2 (d) resin (1)/2 (e) 0 (f) sin (x)/2 _In?(2)/2
Step by Step Solution
There are 3 Steps involved in it
Get step-by-step solutions from verified subject matter experts
