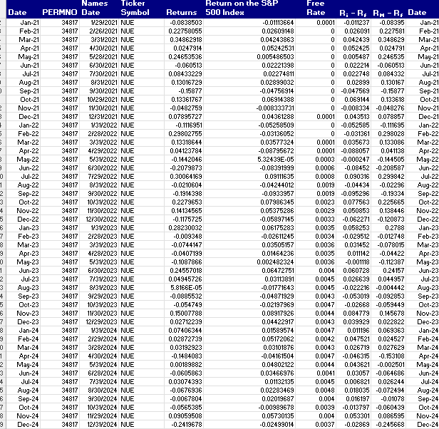
Question: calculate beta equity and beta assets begin { tabular } { | r | c | c } hline Beta Calculations & Estimated
calculate beta equity and beta assets begintabularrcchline Beta Calculations & Estimated Equity Beta & hline & Unlevered Asset Beta & hline endtabularbegintabularrcc
hline Beta Calculations & Estimated Equity Beta &
hline & Unlevered Asset Beta &
hline
endtabular
Step by Step Solution
There are 3 Steps involved in it
1 Expert Approved Answer
Step: 1 Unlock
Question Has Been Solved by an Expert!
Get step-by-step solutions from verified subject matter experts
Step: 2 Unlock
Step: 3 Unlock
