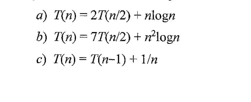
Question: Calculate: Please write a full answer and give a good explanation a) T(n)-2T(n/2) +nlogn b) T(n) = 77(n/2) + ?logn c) T(n) = T(n-1 )
Calculate: 
Please write a full answer and give a good explanation
a) T(n)-2T(n/2) +nlogn b) T(n) = 77(n/2) + ?logn c) T(n) = T(n-1 ) + 1
Step by Step Solution
There are 3 Steps involved in it
Get step-by-step solutions from verified subject matter experts
