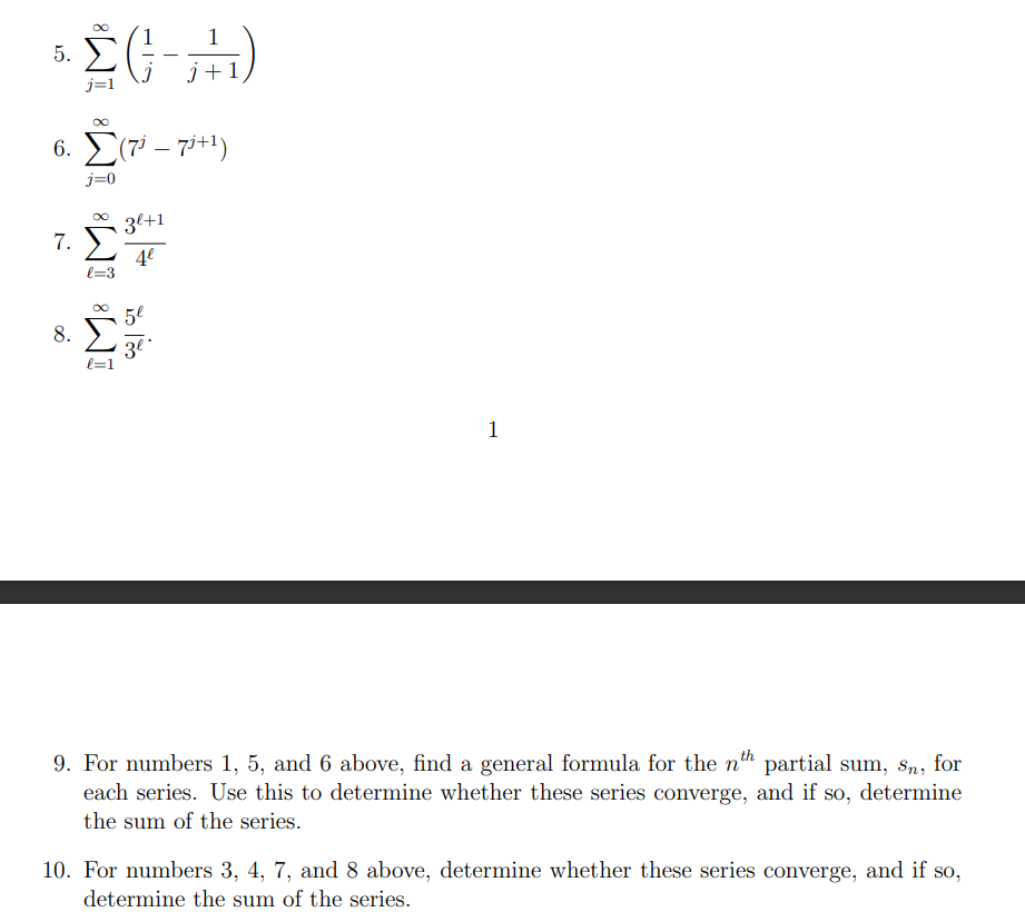
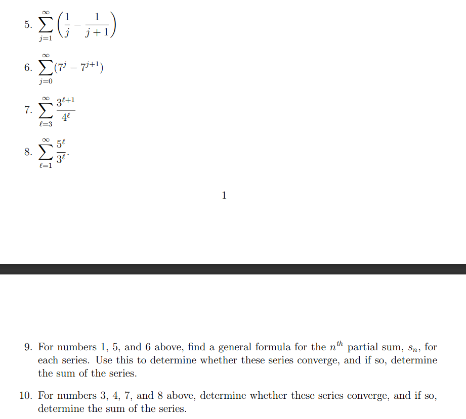
Question: calculate the first four partial sums for each series.9. For numbers 1, 5, and (i al'Jove, find a general formula. [or the 1er partial sum,




calculate the first four partial sums for each series.9. For numbers 1, 5, and (i al'Jove, find a general formula. [or the 1er partial sum, 5.\". [or each series. Use this to determine whether these series converge, and if so, determine the sum of the series. II). For numbers 3, 4, 7, and 8 above, determine whether these series converge, and if so, determine the sum of the series
Step by Step Solution
There are 3 Steps involved in it
1 Expert Approved Answer
Step: 1 Unlock
Question Has Been Solved by an Expert!
Get step-by-step solutions from verified subject matter experts
Step: 2 Unlock
Step: 3 Unlock
