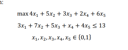
Question: Calculate the optimal solution for the following backpack problem using the branch and bound approach 2: max 4x1 + 5x2 + 3x3 + 2x4 +
Calculate the optimal solution for the following backpack problem using the branch and bound approach

2: max 4x1 + 5x2 + 3x3 + 2x4 + 6x5 3x1 + 7x2 + 5x3 + x4 + 4x5
Step by Step Solution
There are 3 Steps involved in it
Get step-by-step solutions from verified subject matter experts
