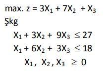
Question: Calculate the optimal solution of the linear programming model given below using the simplex method. max.z=3X1+7x2+x3 X1+3X2+9X327X1+6X2+3X318
Calculate the optimal solution of the linear programming model given below using the simplex method.

max.z=3X1+7x2+x3 X1+3X2+9X327X1+6X2+3X318
Step by Step Solution
There are 3 Steps involved in it
Get step-by-step solutions from verified subject matter experts
