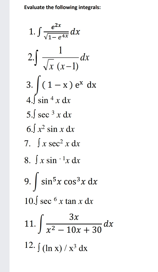
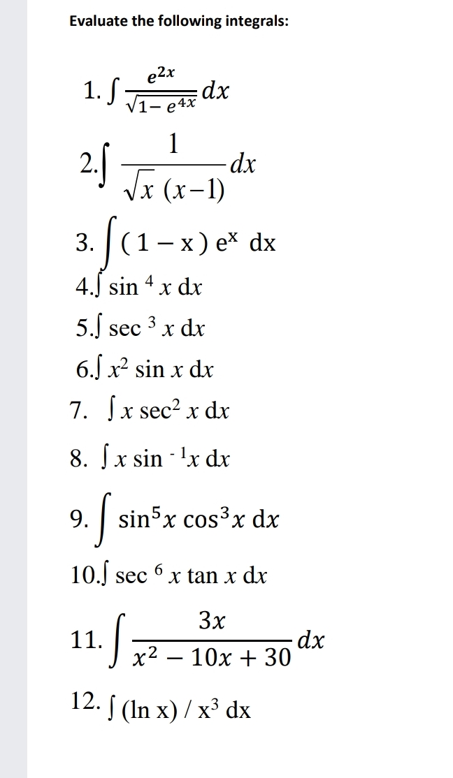
Question: calculus 130 Evaluate the following integrals: e2x 1. J dx V1- e4x - 2. dx Vx (x-1) 3. (1 - x ) ex dx 4.)

 calculus 130 Evaluate the following integrals: e2x 1. J dx V1-

calculus 130

e4x - 2. dx Vx (x-1) 3. (1 - x ) ex

Evaluate the following integrals: e2x 1. J dx V1- e4x - 2. dx Vx (x-1) 3. (1 - x ) ex dx 4.) sin 4 x dx 5.J sec 3 x dx 6.J x2 sin x dx 7. Jx sec2 x dx 8. Jx sin - 1x dx 9. sin5x cos3 x dx 10.J sec 6 x tan x dx 3x 11. dx x2 - 10x + 30 12. [ (In x) / x3 dx

Step by Step Solution

There are 3 Steps involved in it

1 Expert Approved Answer
Step: 1 Unlock blur-text-image
Question Has Been Solved by an Expert!

Get step-by-step solutions from verified subject matter experts

Step: 2 Unlock
Step: 3 Unlock

Students Have Also Explored These Related Mathematics Questions!