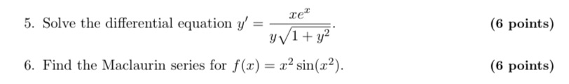
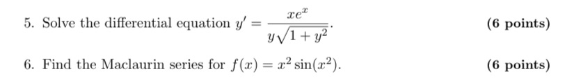
Question: Calculus 2: please help me asap. And show your work thank you 5. Solve the differential equation y' = 6. Find the Maclaurin series for

Calculus 2: please help me asap. And show your work thank you

5. Solve the differential equation y' = 6. Find the Maclaurin series for f (x) = x sin(.r 2 (6 points) (6 points)
Step by Step Solution
There are 3 Steps involved in it
Get step-by-step solutions from verified subject matter experts
