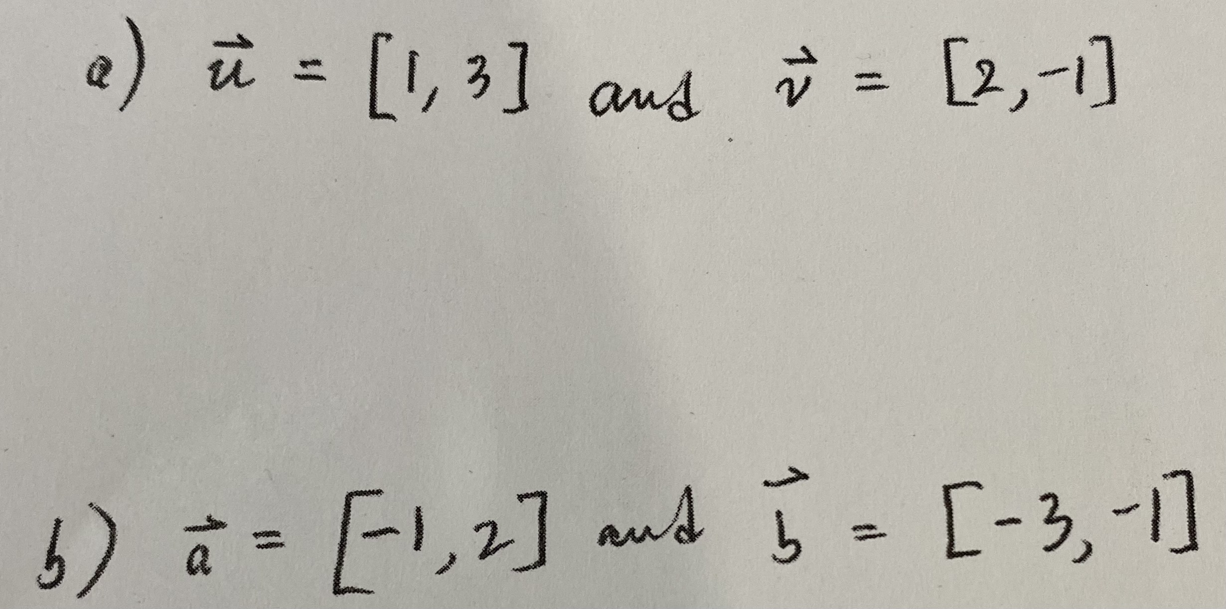
Question: Calculus and vectors (ALEBRAIC VECTORS) Please show all work leading to answer 1. Calculate the dot product for each pair ++a ) a = [7,


![- 2], 6 = [2, -5] ( = [ 3 , 5](https://s3.amazonaws.com/si.experts.images/answers/2024/06/666646e574869_853666646e5507dd.jpg)
![] , 7 = [ 1, 2]](https://s3.amazonaws.com/si.experts.images/answers/2024/06/666646e5e6a58_853666646e5bafcb.jpg)

Calculus and vectors (ALEBRAIC VECTORS)
Please show all work leading to answer
1. Calculate the dot product for each pair





++a ) a = [7, - 2], 6 = [2, -5] ( = [ 3 , 5 ] , 7 = [ 1, 2]
Step by Step Solution
There are 3 Steps involved in it
1 Expert Approved Answer
Step: 1 Unlock
Question Has Been Solved by an Expert!
Get step-by-step solutions from verified subject matter experts
Step: 2 Unlock
Step: 3 Unlock
