Question: Calculus Name: Algebra Techniques for finding limits These techniques apply when direct substitution results Technique #1 Factoring in dividing by zero . 2-X Find: limx-2








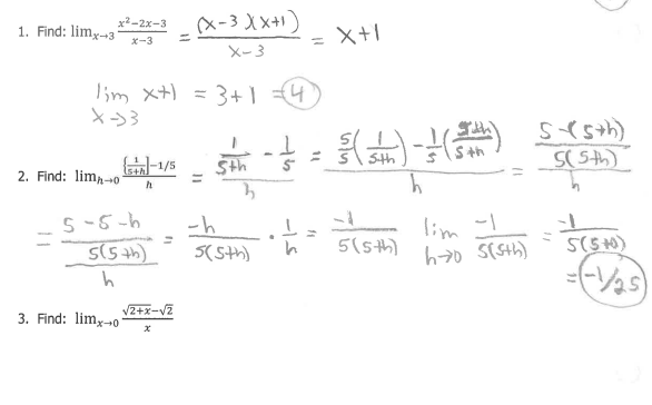
Calculus Name: Algebra Techniques for finding limits These techniques apply when direct substitution results Technique #1 Factoring in dividing by zero . 2-X Find: limx-2 72-4 step 1 : Factor numerator and a - x = -1(x - 2) X2- 4 denominator ( X- 2)X+2) step 2: Divide out common - 1(x-2 ) ( x xa) (x+2 ) = factors X+1 step 3 : Now try direct lim 2-x lim -1 - substitution again to 2 x-4 x -2 x+2Technique #2 Simplifying Compound Fractions Find: limx-+0 X 4 I * + 4 step 1: Add or subtract the x+4 4 X+ 4 4 X + 4 top fractions = 4 - ( x+ 4 ) 4 - X - 4 4 ( x+ 4) = 4 ( x + 4 ) = -X stepa: Simplify compound traction - x 4 ( X+41 ) to a single fraction 4 (x + 4 ) = -X X 4 ( x + 4) + X = - X - X step] : Divide out common 4 ( X+4 ) X = 4(X+4) x factor and take the limit by substitution - X So, lim x+4 4 -lim - X10 4(x4 4 ) 40+4 ) X 4 ( X + 4 ) x 41 x +4)Technique #3 Multiplying by the conjugate VX+1-2 Find: limy+3 X-3 1X 41 - d step!: multiply the numerator X+1 +2 X +1 - 4 X-3 and denominator by the (x - 3)(v+1 + 2 conjugate. = X- 3 step 2 : Divide out the * - (X-3) (x+1 +2 common factor ( X 3) ( 1X +1 +2) 1x+1 +2 step 3 : Use direct substitution to evaluate the limit limx+ -d = lim X-3 X-3 +2 Practice: 41. Find: limx-+3 x -2x-3 ( X - 3 Xx+1 x-3 = = X+1 X- 3 Jim X+) = 3+1 4 X -3 5 -(5th ) -1/5 5th 5 th 2. Find: limp-0 5th S( 5-thy ) h 5-5 -h - lim - 1 5 (5 th ) 5(5th) 5(5th) ho S(5th) 5 (5+0) h =(-1/25 3. Find: limx-+0 V2+x-v2
Step by Step Solution
There are 3 Steps involved in it
Get step-by-step solutions from verified subject matter experts
