Question: can i get this real soon . in c language. #include Console_10_Utility.h #include // for cbrt // global constants const int TWO_ENDLINES = 2; //





can i get this real soon . in c language.
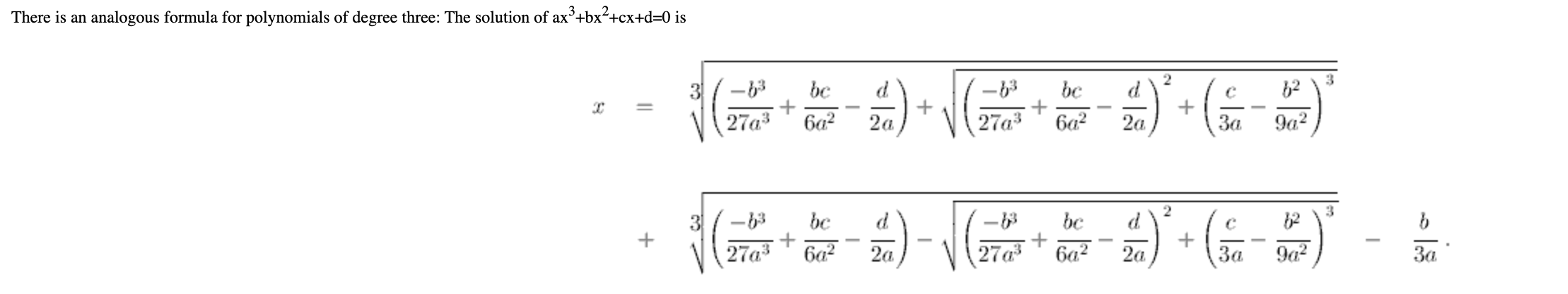
#include "Console_10_Utility.h" #include // for cbrt // global constants const int TWO_ENDLINES = 2; // prototypes double cubeRoot( double value); // main program int main() { // initialize function/variables // initialize variables int coefficienta, coefficients, coefficientc, coefficientD; double threePartExpElementOneNum, threePartExpElementOneDen; double threePartExpElementTwoNum, threePartExpElementTwoDen; double threePartExpElementThreeNum, threePartExpElementThreeDen; double twoPartExpElementOneNum, twoPartExpElementOneDen; double twoPartExpElementTwoNum, twoPartExpElementTwoDen; double onePartExpressionNum, onePartExpressionDen; double threePartExpSquared, twoPartExpCubed; double threePartExpElementOne, threePartExpElementTwo; double threePartExpElementThree, threePartExpression, onePartExpression; double twoPartExpElementOne, twoPartExpElementTwo, twoPartExpression; double underSaRtPart, SqRtPart; double cubeRtAddedPart, cubeRtSubtractedPart, xResult, testVal; bool not Complex = false; // show title // function: printString, printEndline(s) printEndline(); printString( "Third Degree Polynomial Calculator" ); printEndline(); printString( ); printEndlines( TWO_ENDLINES ); printEndlines( TWO_ENDLINES); // get input // show expression, provide instructions // function: printString, printEndline(s) printString( "For the expression: ax^3 + bx^2 + cx + d = 0" ); printEndline(); printString( "Enter the coefficient values here: "); printEndlines ( TWO_ENDLINES ); // get first coefficient // function: promptForInteger coefficienta = promptForInteger( "Enter coefficient A: "); // get second coefficient // function: promptForInteger coefficientB = promptForInteger( "Enter coefficient B: " ); // get third coefficient // function: promptForInteger coefficient = promptForInteger( "Enter coefficient C: " ); // get fourth coefficient // function: promptForInteger coefficientD = promptForInteger( "Enter coefficient D:" ); // create expressions // calculate first element numerator of three part expression // calculate first element denominator of three part expression // calculate first element of three part expression // calculate second element numerator of three part expression // calculate second element denominator of three part expression // calculate second element of three part expression // calculate third element numerator of three part expression // calculate third element denominator of three part expression // calculate third element // calculate three part expression // calculate three part expression squared // calculate first element numerator of two part expression // calculate first element denominator of two part expression // calculate first element of two part expression // calculate second element numerator of two part expression // calculate second element denominator of two part expression // calculate second element of two part expression // calculate two part expression // calculate two part expression // calculate two part expression cubed // calculate numerator of one part expression // calculate denominator of one part expression // calculate one part expression // create under square root part There is an analogous formula for polynomials of degree three: The solution of ax+bx+cx+d=0 is 3 d ( )( )( ) -53 bc + 27a3 602 + bc + 27a3 6a2 2a 2 d C 12 + -63 bc + 2793 6a2 bc + 2703 6a2 b 3a 2a 2a 3a 9a2