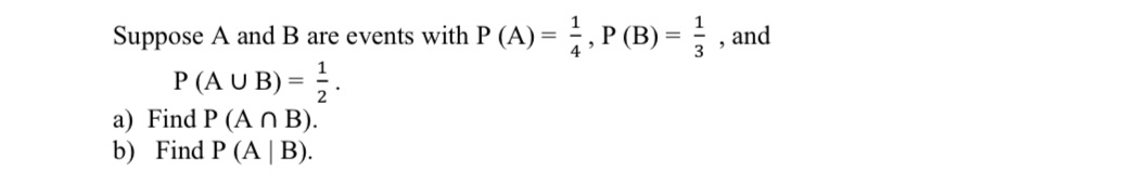
Question: Can please anyone step by step explain how to solve this problem?)) Suppose A and B are events with P (A) = P , and
Can please anyone step by step explain how to solve this problem?))

Suppose A and B are events with P (A) = P , and 2 a) Find P (A n B). b) Find P(AIB).
Step by Step Solution
There are 3 Steps involved in it
Get step-by-step solutions from verified subject matter experts
