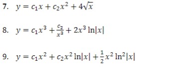
Question: Can someone help me answer 9, final answer on the second photo fUse the method of Variation of Parameters to find the solution for the
Can someone help me answer 9, final answer on the second photo


Step by Step Solution
There are 3 Steps involved in it
1 Expert Approved Answer
Step: 1 Unlock
Question Has Been Solved by an Expert!
Get step-by-step solutions from verified subject matter experts
Step: 2 Unlock
Step: 3 Unlock
