Question: Can someone help me do 20X3 Financial Statement Project. Need Adjustments worksheet, Income statement, Statement of comprehensive income ,Statement of owners' equity, Balance sheet, Statement
Can someone help me do 20X3 Financial Statement Project. Need Adjustments worksheet, Income statement, Statement of comprehensive income ,Statement of owners' equity, Balance sheet, Statement of cash flows


-
It is information about 20X2
-
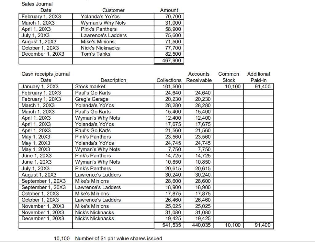
Follow is the information about 20X3




Post Closing Trial Balance as of December 31, 20X2 Debit 208.898 Credit Cash Accounts receivable Lumber inventory Shop supplies on hand Office supplies on hand Prepaid insurance Truck Accumulated depreciation-truck 110,210 10,460 820 1,000 11.020 44,000 3,900 Tools 53,820 Accumulated depreciation-tools Computer Accumulated depreciation computer Long-term investment Accounts payable Taxes payable Dividends payable Deferred taxes payable Long-term investments Deferred taxes payable Depreciation Common stock Additional paid-in capital in excess of par Retained earnings Accumulated other comprehensive income 7,336 4,150 1,038 72,150 7,470 17,749 2,275 5,184 5,370 45,500 288,600 122,890 9,216 Dividends declared Sales Lumber expense Shop supplies expense Office supplies expense Marketing expense Gasoline expense Insurance expense Rent expense Utilities expense Depreciation expense Other comprehensive income Total 516,528 516,528 Accounts receivab le subsidiary reconciliation Sue's Paint Shop Freeda's Fashions 28,380 Carlos' Cars Peter's Planes Bob's Bank Earl's Earrings Greg's Garage Paul's Go Karts Total 20,230 61,600 110,210 Accounts payable subsidiary reconciliation Massive Building Supply Store Scott's Most Excellent Lumber 7,470 The Computer Shop Ken's Tool Supply Company Total 7,470 Note: You must correct any errors in the second assignment (20X2) before you start working on this assignmnet. Business is good. To meet the delivery demands, Kline bought another truck. Not wanting to pay cash for the truck, though, she took advantage of the low interest rates offered by the Ford Dealership. Details on the purchase are shown below. General journal entry $ The payments on the note are made monthly. Convert the term of five years into monthly payments by multiplying it by 12, for a total of 60 payments. Divide the coupon interest rate by 12 to arrive at the monthly rate. Do not round the interest rate: Divide it by 12 and press the YR button to input the result. Divide nd declared by the Board of Directors during the year 10,300 Purchase of truck Purchase price The term of the note is five years The note is due in monthly payments of principal and interest The truck has a ten year life and $5,000 of salvage value Coupon 1.00% Market 19,800 5.60% Shop Supplies on Hand Purchases Jou mal Lumber Total Inventory Tools Other Date Vendor January 1, 20X3 January 1, 20X3 The Computer Shop Ken's Tool Supply Company 7,470 19,390 7,470 Detail below 19,390 January 1, 20X3 January 1, 2OX3 May 1, 20X3 July 1, Scott's Most Excellent Lumber 14,110 14,110 Massive Building Supply Store Scott's Most Excellent Lumber ssive Building Supply Store Scott's Most Excellent Lumber Massive Building Supply Store Scott's Most Excellent Lumber 2,112 21,165 2,640 28,220 2,112 21,165 2,640 August 1, 20X3 September 1, 20X3 December 1, 20X3 28,220 528 7,055 102,690 528 7,055 5,280 19,390 70,550 7,470 Useful Life Cost Salvage 1,200 Table saw 11,550 7,840 19,390 7,470 5 Lathe 10 800 Computer 4 Sales Journal Amount 70,700 Customer Yolanda's Yo Yos Date February 1, 20X3 March 1, 20X3 April 1, 20X3 July 1, 20X3 August 1, 20X3 October 1, 20X3 December 1, 20X3 Wyman's Why Nots Pink's Panthers 31,000 58,900 Lawrence's Ladders 75,600 71,500 77,700 82,500 467,900 Mike's Minions Nick's Nicknacks Tom's Tanks Cash receipts journal Date Accounts Common Additional Description Collections Receivable 101,500 24,640 20,230 28,280 Stock Paid-in January 1, 20X3 February 1, 20X3 February 1, 20X3 March 1, 20X3 March 1, 20X3 April 1, 20X3 April 1, 20X3 April 1, 20X3 May 1, 20X3 May 1, 20X3 May 1, 20X3 Stock market Paul's Go Karts 10,100 91,400 24,640 Greg's Garage Yolanda's YoYos 20,230 28,280 15,400 12,400 17,675 21,560 23,560 24,745 7,750 14.725 Paul's Go Karts 15,400 12,400 17,675 21,560 23,560 24,745 7,750 14.725 Wyman's Why Nots Yolanda's YoYos Paul's Go Karts Pink's Panthers Yolanda's YoYos Wyman's Why Nots Pink's Panthe rs Wyman's Why Nots June 1, 20X3 10,850 20,615 30,240 28,600 18,900 17,875 26,460 25,025 31,080 19,425 541,535 June 1, 20X3 July 1, 20X3 August 1, 20X3 September 1, 20X3 September 1, 20X3 October 1, 20X3 October 1, 20X3 November 1, 20X3 November 1, 20X3 December 1, 20X3 10,850 Pink's Panthers 20,615 30,240 28,600 18,900 17,875 26,460 25,025 31,080 19.425 440,035 Lawrence's Ladd ers Mike's Minions Lawrence's Ladders Mike's Minions Lawrence's Ladders Mike's Minions Nick's Nicknacks Nick's Nicknacks 10,100 91,400 Number of $1 par value shares issued 10,100 Cash disbursements Office Supplies On Hand Accounts Prepaid Insurance Ca Gasoline Marketing Utilities Check 193 194 Date Amount ayable Rent Payment Other Scott's Mast Excolont Lumber The Computer Shop January 1, 20X3 7.470 January 1, 20X3 7A7O 4,400 196 anuary 31 20% 197 February 1,20X3 Ferdinand's Fords Gary's Gas 338 1,76 1,760 4,400 199 FebruaN1 20X 200 February 1,20X3 201 February 1,20X3 Homer's Office Supply 2646 14.110 2,646 14,110 2,112 Scott's Most Excellent Lumber Massive Building Supply Store 2,112 2,024 Kens Tool Supply Company IRS reholders Ferdinand's Fords Rajs Marketing Chales Schwab- short-term invest 19.390 17,749 203 February 1, 20x3 204 February 19,390 17,749 2,275 ,20X3 206 February 28, 20X3 207 March 1, 20X3 338 338 9.600 9,600 21,000 21,000 209 EMerci EU 210 March 1,20x3 211 March1,2UX 27,720 Company 1498 4,400 Gary's Gas Rick's Rentals Fords 498 4,400 338 213 April 1, 20X3 214 April 1, 20X3 Gary's Gas Rick's Rentals 614 4.400 4,400 12,992 and Light April 1, 20x3 April 30, 20X3 ay 1, 20X3 5 150 Shareholder Ferdinand's Fords Tu Crash Em Insurance Company 5,150 216 338 217 338 24,160 24,160 2.130 220 May 1, 20X3 May 31, 20X3 Rick's Rentals Ferdinand's Fords 4.400 4,400 338 221 338 1 5 4400 4,032 1,207 223 June 1. 20x3 224 June 1, 20x5 RIcks Rentals Pink Pages (advertising) s Most Excellent Lumber IRS Ferdinand's Fords 4.400 4,032 21,165 226 June 1 20x: 227 June 30, 20X 23.000 338 23,000 338 .353 229 Fry s 230 July 1, 20X3 231 July 31, 20X3 Rick's Rents 4.400 4.400 als Brea Power and Light Ferdinand's Fords 6.992 6,992 338 338 1,044 Ss Rentals 233 FAuust 20X3 August 1,20x3 235 August 31, 20X3 4.400 2.640 4.400 Massive Building Supply Store Ferdinand's Fords 2.640 234 338 3 Sentember 1, 20X3 September 1, 20X3 x3 1,848 Rick's Rentals Scott's Most Excellent Lumber 4.400 28.220 4,400 237 28,220 238 338 Menciue Bukiog Supply Store 240 October 1 241 October 1, 20X3 242 October 1, 20X3 528 528 5.150 11,600 5,150 Shareholders Brea Power and Light 11,600 1,538 244 October1.20%3 245 October 31, 20X3 Ricks Rentas Ferdinand's Fords ffice Supply 4 400 338 338 3,654 247 November 1 30Y2 248 November 1,20X3 2077 4,400 1,725 Garv's Gas Rick's Rentals 2.077 4,400 1,725 250 NOvemer02023 Ferdinand's For den 251 December 1, 20X3 Gary's Gas 1637 1,637 4.400 4.400 Fordinand's Fords 253 December 31,20X3 338 15,357 74,324 19,/28 31,584 52,800 6,300 359,134 103,105 4,055 51,880 Short-term investment 21.000 The payment to the Big Insurance company is a business insurance policy covering 12 months ended April 30, 20x4 tomobile insurance policy covering 16 months ended June 3 20X4 a e d Me apd E 000 of eabage value 12.575 | Adjustments 1) 820 Ending balance of shop supplies on hand Ending balance of office supplies on hand Ending balance of lumber on hand Record depreciation expense (the company uses straight line for books and double declining balance for taxes) Dividend per share declared on December 31, 20X3 Unrealized gain on long-term investment Unrealized gain on short-term investment 890 3) 12,700 $ 0.20 17.300 2,100 Long-Term 57,750 14,400 Short-Term Your statement of cash flows must use the Cost 21,000 indirect method of disclosing operating cash flows. Additionally, you must report the direct method of disdosing operating cash flows as a separate disclosure. Do this for all three years Unrealized gain in 20X2 Unrealized gain in 20X3 Ending fair value 17,300 89,450 2,100 23,100 8) Adjust prepaid insurance and insurance expensse Write-off receivable from Sue's Paint Shop 9) 10) Adjust allowance for doubtful accounts to the following percentage 1.00% Estimated uncollectible accounts receivable 36.00% Tax rate 11) Show compreh en sive income as a separate statement. Post Closing Trial Balance as of December 31, 20X2 Debit 208.898 Credit Cash Accounts receivable Lumber inventory Shop supplies on hand Office supplies on hand Prepaid insurance Truck Accumulated depreciation-truck 110,210 10,460 820 1,000 11.020 44,000 3,900 Tools 53,820 Accumulated depreciation-tools Computer Accumulated depreciation computer Long-term investment Accounts payable Taxes payable Dividends payable Deferred taxes payable Long-term investments Deferred taxes payable Depreciation Common stock Additional paid-in capital in excess of par Retained earnings Accumulated other comprehensive income 7,336 4,150 1,038 72,150 7,470 17,749 2,275 5,184 5,370 45,500 288,600 122,890 9,216 Dividends declared Sales Lumber expense Shop supplies expense Office supplies expense Marketing expense Gasoline expense Insurance expense Rent expense Utilities expense Depreciation expense Other comprehensive income Total 516,528 516,528 Accounts receivab le subsidiary reconciliation Sue's Paint Shop Freeda's Fashions 28,380 Carlos' Cars Peter's Planes Bob's Bank Earl's Earrings Greg's Garage Paul's Go Karts Total 20,230 61,600 110,210 Accounts payable subsidiary reconciliation Massive Building Supply Store Scott's Most Excellent Lumber 7,470 The Computer Shop Ken's Tool Supply Company Total 7,470 Note: You must correct any errors in the second assignment (20X2) before you start working on this assignmnet. Business is good. To meet the delivery demands, Kline bought another truck. Not wanting to pay cash for the truck, though, she took advantage of the low interest rates offered by the Ford Dealership. Details on the purchase are shown below. General journal entry $ The payments on the note are made monthly. Convert the term of five years into monthly payments by multiplying it by 12, for a total of 60 payments. Divide the coupon interest rate by 12 to arrive at the monthly rate. Do not round the interest rate: Divide it by 12 and press the YR button to input the result. Divide nd declared by the Board of Directors during the year 10,300 Purchase of truck Purchase price The term of the note is five years The note is due in monthly payments of principal and interest The truck has a ten year life and $5,000 of salvage value Coupon 1.00% Market 19,800 5.60% Shop Supplies on Hand Purchases Jou mal Lumber Total Inventory Tools Other Date Vendor January 1, 20X3 January 1, 20X3 The Computer Shop Ken's Tool Supply Company 7,470 19,390 7,470 Detail below 19,390 January 1, 20X3 January 1, 2OX3 May 1, 20X3 July 1, Scott's Most Excellent Lumber 14,110 14,110 Massive Building Supply Store Scott's Most Excellent Lumber ssive Building Supply Store Scott's Most Excellent Lumber Massive Building Supply Store Scott's Most Excellent Lumber 2,112 21,165 2,640 28,220 2,112 21,165 2,640 August 1, 20X3 September 1, 20X3 December 1, 20X3 28,220 528 7,055 102,690 528 7,055 5,280 19,390 70,550 7,470 Useful Life Cost Salvage 1,200 Table saw 11,550 7,840 19,390 7,470 5 Lathe 10 800 Computer 4 Sales Journal Amount 70,700 Customer Yolanda's Yo Yos Date February 1, 20X3 March 1, 20X3 April 1, 20X3 July 1, 20X3 August 1, 20X3 October 1, 20X3 December 1, 20X3 Wyman's Why Nots Pink's Panthers 31,000 58,900 Lawrence's Ladders 75,600 71,500 77,700 82,500 467,900 Mike's Minions Nick's Nicknacks Tom's Tanks Cash receipts journal Date Accounts Common Additional Description Collections Receivable 101,500 24,640 20,230 28,280 Stock Paid-in January 1, 20X3 February 1, 20X3 February 1, 20X3 March 1, 20X3 March 1, 20X3 April 1, 20X3 April 1, 20X3 April 1, 20X3 May 1, 20X3 May 1, 20X3 May 1, 20X3 Stock market Paul's Go Karts 10,100 91,400 24,640 Greg's Garage Yolanda's YoYos 20,230 28,280 15,400 12,400 17,675 21,560 23,560 24,745 7,750 14.725 Paul's Go Karts 15,400 12,400 17,675 21,560 23,560 24,745 7,750 14.725 Wyman's Why Nots Yolanda's YoYos Paul's Go Karts Pink's Panthers Yolanda's YoYos Wyman's Why Nots Pink's Panthe rs Wyman's Why Nots June 1, 20X3 10,850 20,615 30,240 28,600 18,900 17,875 26,460 25,025 31,080 19,425 541,535 June 1, 20X3 July 1, 20X3 August 1, 20X3 September 1, 20X3 September 1, 20X3 October 1, 20X3 October 1, 20X3 November 1, 20X3 November 1, 20X3 December 1, 20X3 10,850 Pink's Panthers 20,615 30,240 28,600 18,900 17,875 26,460 25,025 31,080 19.425 440,035 Lawrence's Ladd ers Mike's Minions Lawrence's Ladders Mike's Minions Lawrence's Ladders Mike's Minions Nick's Nicknacks Nick's Nicknacks 10,100 91,400 Number of $1 par value shares issued 10,100 Cash disbursements Office Supplies On Hand Accounts Prepaid Insurance Ca Gasoline Marketing Utilities Check 193 194 Date Amount ayable Rent Payment Other Scott's Mast Excolont Lumber The Computer Shop January 1, 20X3 7.470 January 1, 20X3 7A7O 4,400 196 anuary 31 20% 197 February 1,20X3 Ferdinand's Fords Gary's Gas 338 1,76 1,760 4,400 199 FebruaN1 20X 200 February 1,20X3 201 February 1,20X3 Homer's Office Supply 2646 14.110 2,646 14,110 2,112 Scott's Most Excellent Lumber Massive Building Supply Store 2,112 2,024 Kens Tool Supply Company IRS reholders Ferdinand's Fords Rajs Marketing Chales Schwab- short-term invest 19.390 17,749 203 February 1, 20x3 204 February 19,390 17,749 2,275 ,20X3 206 February 28, 20X3 207 March 1, 20X3 338 338 9.600 9,600 21,000 21,000 209 EMerci EU 210 March 1,20x3 211 March1,2UX 27,720 Company 1498 4,400 Gary's Gas Rick's Rentals Fords 498 4,400 338 213 April 1, 20X3 214 April 1, 20X3 Gary's Gas Rick's Rentals 614 4.400 4,400 12,992 and Light April 1, 20x3 April 30, 20X3 ay 1, 20X3 5 150 Shareholder Ferdinand's Fords Tu Crash Em Insurance Company 5,150 216 338 217 338 24,160 24,160 2.130 220 May 1, 20X3 May 31, 20X3 Rick's Rentals Ferdinand's Fords 4.400 4,400 338 221 338 1 5 4400 4,032 1,207 223 June 1. 20x3 224 June 1, 20x5 RIcks Rentals Pink Pages (advertising) s Most Excellent Lumber IRS Ferdinand's Fords 4.400 4,032 21,165 226 June 1 20x: 227 June 30, 20X 23.000 338 23,000 338 .353 229 Fry s 230 July 1, 20X3 231 July 31, 20X3 Rick's Rents 4.400 4.400 als Brea Power and Light Ferdinand's Fords 6.992 6,992 338 338 1,044 Ss Rentals 233 FAuust 20X3 August 1,20x3 235 August 31, 20X3 4.400 2.640 4.400 Massive Building Supply Store Ferdinand's Fords 2.640 234 338 3 Sentember 1, 20X3 September 1, 20X3 x3 1,848 Rick's Rentals Scott's Most Excellent Lumber 4.400 28.220 4,400 237 28,220 238 338 Menciue Bukiog Supply Store 240 October 1 241 October 1, 20X3 242 October 1, 20X3 528 528 5.150 11,600 5,150 Shareholders Brea Power and Light 11,600 1,538 244 October1.20%3 245 October 31, 20X3 Ricks Rentas Ferdinand's Fords ffice Supply 4 400 338 338 3,654 247 November 1 30Y2 248 November 1,20X3 2077 4,400 1,725 Garv's Gas Rick's Rentals 2.077 4,400 1,725 250 NOvemer02023 Ferdinand's For den 251 December 1, 20X3 Gary's Gas 1637 1,637 4.400 4.400 Fordinand's Fords 253 December 31,20X3 338 15,357 74,324 19,/28 31,584 52,800 6,300 359,134 103,105 4,055 51,880 Short-term investment 21.000 The payment to the Big Insurance company is a business insurance policy covering 12 months ended April 30, 20x4 tomobile insurance policy covering 16 months ended June 3 20X4 a e d Me apd E 000 of eabage value 12.575 | Adjustments 1) 820 Ending balance of shop supplies on hand Ending balance of office supplies on hand Ending balance of lumber on hand Record depreciation expense (the company uses straight line for books and double declining balance for taxes) Dividend per share declared on December 31, 20X3 Unrealized gain on long-term investment Unrealized gain on short-term investment 890 3) 12,700 $ 0.20 17.300 2,100 Long-Term 57,750 14,400 Short-Term Your statement of cash flows must use the Cost 21,000 indirect method of disclosing operating cash flows. Additionally, you must report the direct method of disdosing operating cash flows as a separate disclosure. Do this for all three years Unrealized gain in 20X2 Unrealized gain in 20X3 Ending fair value 17,300 89,450 2,100 23,100 8) Adjust prepaid insurance and insurance expensse Write-off receivable from Sue's Paint Shop 9) 10) Adjust allowance for doubtful accounts to the following percentage 1.00% Estimated uncollectible accounts receivable 36.00% Tax rate 11) Show compreh en sive income as a separate statement
Step by Step Solution
There are 3 Steps involved in it
Get step-by-step solutions from verified subject matter experts
