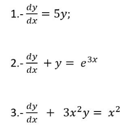
Question: CAN SOMEONE HELP ME TO SOLVE THIS EQUATATIONS? SOLVE FIRST ORDER LINEAR EQUATIONS dy 1, - = 5v; dx 2.- dy ty = e3x dx
CAN SOMEONE HELP ME TO SOLVE THIS EQUATATIONS?
SOLVE FIRST ORDER LINEAR EQUATIONS

dy 1, - = 5v; dx 2.- dy ty = e3x dx 3.- dy + 3xzy = x2 dx
Step by Step Solution
There are 3 Steps involved in it
Get step-by-step solutions from verified subject matter experts
