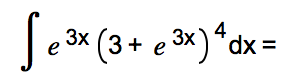
Question: Can someone help me with this problem? I cant seem to be able to get the right answer. f
Can someone help me with this problem? I cant seem to be able to get the right answer.

\f
Step by Step Solution
There are 3 Steps involved in it
1 Expert Approved Answer
Step: 1 Unlock
Question Has Been Solved by an Expert!
Get step-by-step solutions from verified subject matter experts
Step: 2 Unlock
Step: 3 Unlock
