Question: Can someone help to solve this problems? Help me solve all items a), b), c), d). I require the solution of each one please Using

Can someone help to solve this problems?
Help me solve all items a), b), c), d). I require the solution of each one please
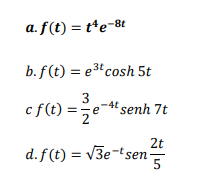
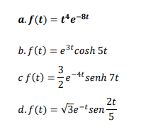
Using the translation theorem, find ?{?(?)} if:

a. f (t ) = the Bt b. f(t) =e cosh 5t cf (t) = e senh 7t 2t d. f (t) = v3e-sen 5
Step by Step Solution
There are 3 Steps involved in it
Get step-by-step solutions from verified subject matter experts
