Question: Can someone please explain to me what I am doing wrong on a and b for this question? I am stuck here and I must
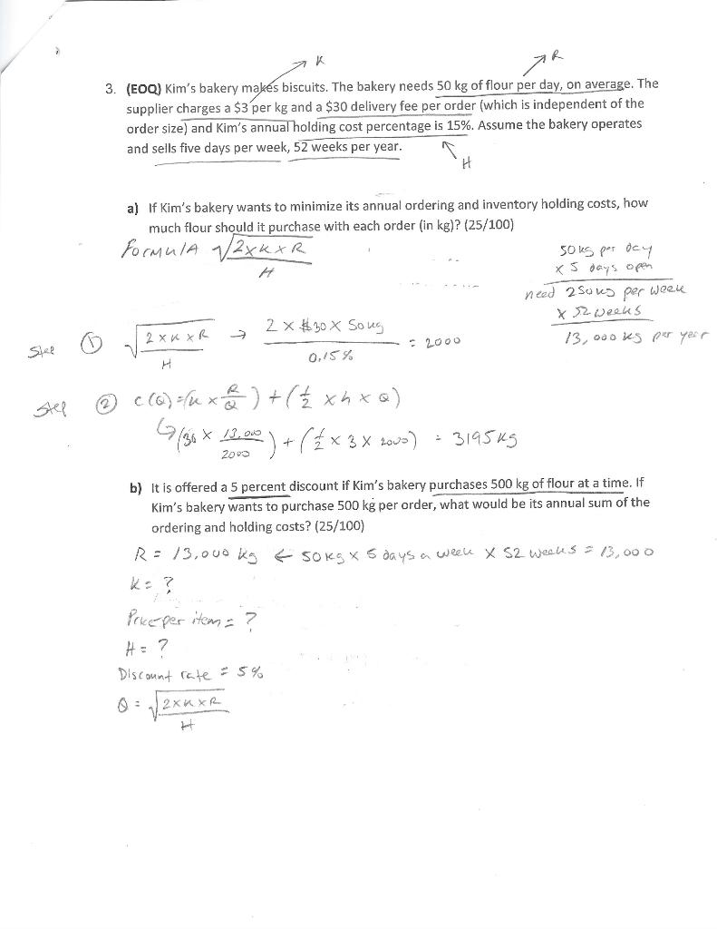
Can someone please explain to me what I am doing wrong on a and b for this question? I am stuck here and I must follow the given formula. I am having a hard time figuring out what R, K and H equal as well (which is why I am unsure what figures to plug into the formula). I think H would be the 0.15%, K would be $3 per kg or the $30 per order, and R would be 50kg per day but I am pretty sure I am reading it wrong. Any help would be greatly appreciated. Thank you!
Also for discount the formula should be (k * R/Q) + (1/2 * H * Q)
K 3. (EOQ) Kim's bakery makes biscuits. The bakery needs 50 kg of flour per day, on average. The supplier charges a $3 per kg and a $30 delivery fee per order (which is independent of the order size) and Kim's annual holding cost percentage is 15%. Assume the bakery operates and sells five days per week, 52 weeks per year. H H Formula V2 x K x R a) If Kim's bakery wants to minimize its annual ordering and inventory holding costs, how much flour should it purchase with each order (in kg)? (25/100) 50ks per day x 5 days open need 2 sous per week 2 x 30 X Sover X2 Decks 2xuXR 13,oooks per year 0,15% H c ()=(x ) + xhxa) 7/36 * 13.00 2000 ) + ( x 3 x Rova) 3195kg b) It is offered a 5 percent discount if Kim's bakery purchases 500 kg of flour at a time. If Kim's bakery wants to purchase 500 kg per order, what would be its annual sum of the ordering and holding costs? (25/100) R = 13,000 kg tsokg x 5 days a ween X S2 weeks = 13,000 k= ? Pecce per item = ? Discount rate - 5% /2xKxRStep by Step Solution
There are 3 Steps involved in it
Get step-by-step solutions from verified subject matter experts
