Question: Can someone provide step-by-step solutions to the problem? I provided the correct answer from my textbook so that you can check your answer. Thanks in


Can someone provide step-by-step solutions to the problem? I provided the correct answer from my textbook so that you can check your answer. Thanks in advance!
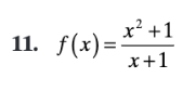
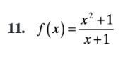
For each of the rational functions in Exercises 1 ? 12, find a. any vertical asymptotes, b. any horizontal asymptotes, and c. any oblique asymptotes.


Step by Step Solution
There are 3 Steps involved in it
Get step-by-step solutions from verified subject matter experts
