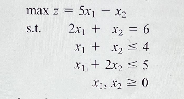
Question: Can u solve it with two phase method. But can u explain all steps if ask. Thanks. maxz=5x1x2 s.t. 2x1+x2=6 x1+x24 x1+2x25 x1,x20
Can u solve it with two phase method.
maxz=5x1x2 s.t. 2x1+x2=6 x1+x24 x1+2x25 x1,x20 But can u explain all steps if ask. Thanks.
Step by Step Solution
There are 3 Steps involved in it
1 Expert Approved Answer
Step: 1 Unlock
Question Has Been Solved by an Expert!
Get step-by-step solutions from verified subject matter experts
Step: 2 Unlock
Step: 3 Unlock
