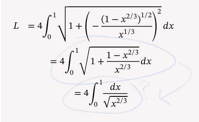
Question: Can you explain how did you go from step 2 to step 3 on the parts I circled? How would I simplify it 1 2

Can you explain how did you go from step 2 to step 3 on the parts I circled? How would I simplify it

1 2 (1 - x2/3) 1/2 L =4 1+ - dx 0 x1/3 1 -x -2/3 = 1+ dx x2/3 dx = 4 x 2/3
Step by Step Solution
There are 3 Steps involved in it
Get step-by-step solutions from verified subject matter experts
