Question: Can you help me answer this question please? It is from financial management course. It is written in two languages firstly Malaysian and then in
Can you help me answer this question please? It is from financial management course. It is written in two languages firstly Malaysian and then in English, just read it in English and answer it in English ..


And please answer all parts of the question.
Thanks a lot in advance .
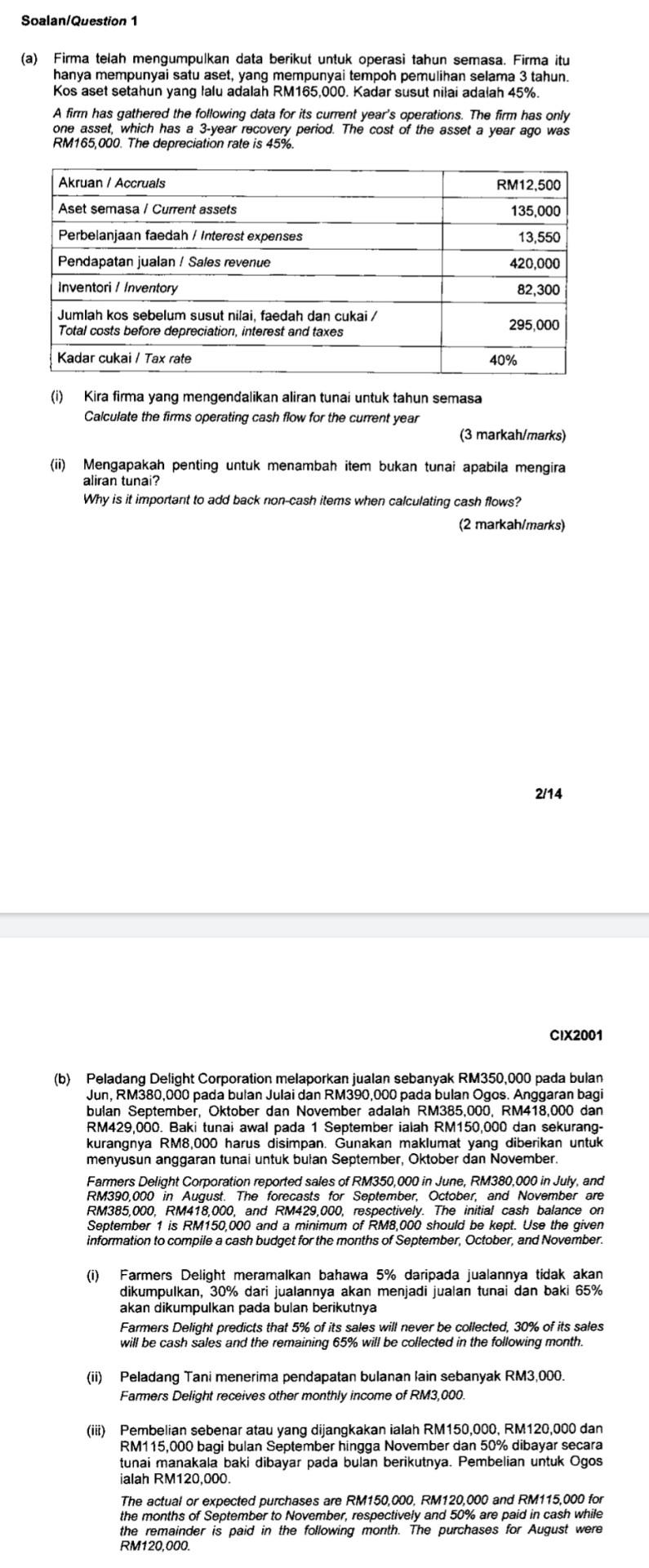
Soalan Question 1 (a) Firma telah mengumpulkan data berikut untuk operasi tahun semasa. Firma itu hanya mempunyai satu aset, yang mempunyai tempoh pemulihan selama 3 tahun. Kos aset setahun yang lalu adalah RM165,000. Kadar susut nilai adalah 45%. A firm has gathered the following data for its current year's operations. The firm has only one asset, which has a 3-year recovery period. The cost of the asset a year ago was RM165,000. The depreciation rate is 45%. Akruan / Accruals RM12,500 Aset semasa / Current assets 135,000 13,550 Perbelanjaan faedah / Interest expenses Pendapatan jualan / Sales revenue Inventori / Inventory 420,000 82,300 Jumlah kos sebelum susut nilai, faedah dan cukai/ Total costs before depreciation, interest and taxes 295,000 Kadar cukai / Tax rate 40% (0) Kira firma yang mengendalikan aliran tunai untuk tahun semasa Calculate the firms operating cash flow for the current year (3 markah/marks) (ii) Mengapakah penting untuk menambah item bukan tunai apabila mengira aliran tunai? Why is it important to add back non-cash items when calculating cash flows? (2 markah/marks) 2/14 CIX2001 (b) Peladang Delight Corporation melaporkan jualan sebanyak RM350,000 pada bulan Jun, RM380,000 pada bulan Julai dan RM390,000 pada bulan Ogos. Anggaran bagi bulan September, Oktober dan November adalah RM385,000, RM418,000 dan RM429,000. Baki tunai awal pada 1 September ialah RM150,000 dan sekurang- kurangnya RM8,000 harus disimpan. Gunakan maklumat yang diberikan untuk menyusun anggaran tunai untuk bulan September, Oktober dan November Farmers Delight Corporation reported sales of RM350,000 in June, RM380,000 in July, and RM390,000 in August. The forecasts for September, October, and November are RM385,000, RM418,000, and RM429,000, respectively. The initial cash balance on September 1 is RM150,000 and a minimum of RM8,000 should be kept. Use the given information to compile a cash budget for the months of September, October, and November. (0) Farmers Delight meramalkan bahawa 5% daripada jualannya tidak akan dikumpulkan, 30% dari jualannya akan menjadi jualan tunai dan baki 65% akan dikumpulkan pada bulan berikutnya Farmers Delight predicts that 5% of its sales will never be collected, 30% of its sales will be cash sales and the remaining 65% will be collected in the following month. (ii) Peladang Tani menerima pendapatan bulanan lain sebanyak RM3,000. Farmers Delight receives other monthly income of RM3,000. (iii) Pembelian sebenar atau yang dijangkakan ialah RM150,000, RM120,000 dan RM115,000 bagi bulan September hingga November dan 50% dibayar secara tunai manakala baki dibayar pada bulan berikutnya. Pembelian untuk Ogos ialah RM120,000. The actual or expected purchases are RM150,000, RM120,000 and RM115,000 for the months of September to November, respectively and 50% are paid in cash while the remainder is paid in the following month. The purchases for August were RM120,000. (iv) Sewa bulanan adalah RM3,500 hanya dikenakan pada bulan Oktober dan November. Monthly rent is RM3,500 chargeable only in October and November. (v) Upah dan gaji adalah 12% daripada jualan bulan sebelumnya Wages and salaries are 12% of the previous month's sales (vi) Dividen tunai sebanyak RM4,600 diisytiharkan dan akan dibayar pada bulan September Cash dividends of RM4,600 are declared and will be paid in September. (vii) Bayaran balik pinjaman prinsipal dan faedah berjumlah RM4,700 akan dibayar pada bulan Oktober Long-term loan repayment of principal and interest of RM4,700 is due in October 3/14 CIX2001 (viii) Peralatan tambahan yang berharga RM8,500 diperintahkan dan dijadualkan dibayar secara tunai pada bulan November. Additional equipment costing RM8, 500 is ordered and scheduled to be paid for in cash in November (ix) Cukai sebanyak RM8,250 akan dibayar pada bulan November. Taxes of RM8, 250 are due in November
Step by Step Solution
There are 3 Steps involved in it
Get step-by-step solutions from verified subject matter experts
