Question: can you help me with my calc practice, its on units #1) Use a calculator to create a table to find 1 - cos(x) lim
can you help me with my calc practice, its on units







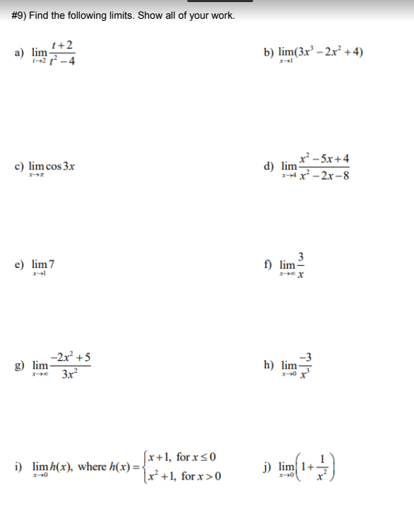
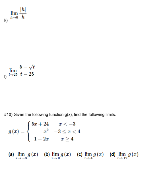
#1) Use a calculator to create a table to find 1 - cos(x) lim = 0 X40 X #2) Name and sketch the three types of discontinuities.#3) Find the limits from the graphs given. a) f(x) WINDOW lim f(x) = infinity Xmin= -6. 064516... Xmax=6. 0645161... -infinity Ascl=1 lim f(x) = Ymin= -4 Ymax=4 Ysol=1 lim f(x) = DNE IXres=1 b) g(x) WINDOW -infinity lim g(x) = Xmin= -3 Xmax=5 Xsol=1 lim g(x) = -infinity Ymin= 6 Ymax=3 Ysol=1 limg(x) =_-infinity Ixres=1 #4) Graph of f The figure above shows the graph of a function f with domain OS x $4. Which of the following statements are true? I. lim f (x) exists. II. lim f (x) exists. x-42* III. lim f (x) exists. x-+2 (A) I only (B) II only (C) I and II only (D) I and III only (E) I, II, and III#5) For which of the following does lim f (x) exist? I. II. III. -X -X Graph of f Graph of f Graph of f (A) I only (C) III only (E) I and III only #6) 5 pts 4. The graph of the function fis shown to the I y Which of the following statements about f is true? A. lim f(x) = lim f(x) 3 B. lim f(x) =2 2 C. lim f(x) =2 D. lim f(x) =1 E. lim f(x) does not exist. #7) 3 pts 6. The function f is continuous on the closed interval [0, 2] and has values that are given in the table at the right. The equation X 0 1 2 f(x) = - must have at least two solutions in the fix) 1 k 2 interval [0, 2] if k = A. 0 B. NI - C. 1 D. 2 E. 3 What theorem are you using?#8) Let f be the function defined by x+1 for OS x $ 3 5 - X for 3 0 j) lim 1+- I-+0lim hoh k) 5- vt lim t +25 t - 25 #10) Given the following function g(x), find the following limits. 5x +24 I
Step by Step Solution
There are 3 Steps involved in it
Get step-by-step solutions from verified subject matter experts
