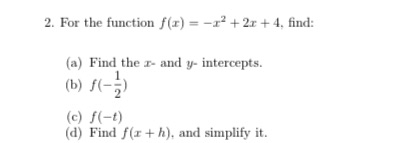
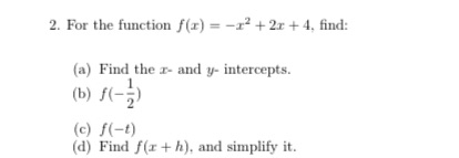
Question: can you help me with this question? 2. For the function f (r) P + 2x 4, find: (a) (c) (d) Find the and y-

can you help me with this question?

2. For the function f (r) P + 2x 4, find: (a) (c) (d) Find the and y- intercepts. Find f (r + h), and simplify it.
Step by Step Solution
There are 3 Steps involved in it
1 Expert Approved Answer
Step: 1 Unlock
Question Has Been Solved by an Expert!
Get step-by-step solutions from verified subject matter experts
Step: 2 Unlock
Step: 3 Unlock
