Question: Can you please answer Q.8 Same way as the example illustrated with the attached files. Question 8 20 pts Use formal definitions to show that:
Can you please answer Q.8 Same way as the example illustrated with the attached files.



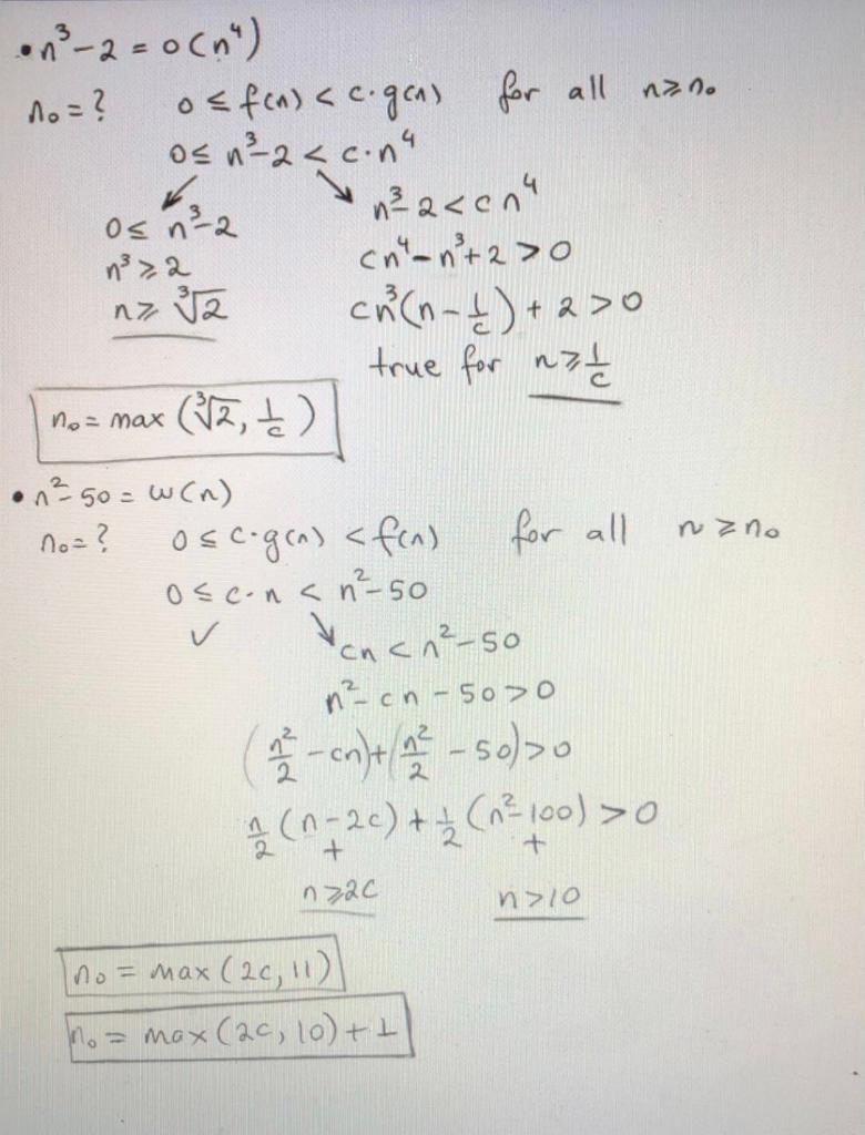
Question 8 20 pts Use formal definitions to show that: 2n3 + 10n - 1000 = N (na) 3n4 2n + 600 = 0 (15) Show your work, similar to the examples from the notes. Upload a file with your solution. ** Note that this type of question allows you to upload only 1 file. Only the last file uploaded is submitted. Here are some options if you have multiple files: (1) add them to a ZIP file, and then just submit the ZIP file, or (2) combine the files into a PDF file. Upload Choose a File do=? os nas n-2 - 0 Cn) of fea)
Step by Step Solution
There are 3 Steps involved in it
Get step-by-step solutions from verified subject matter experts
