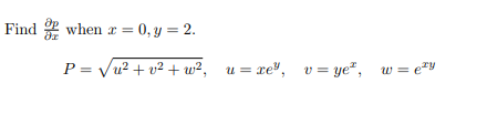
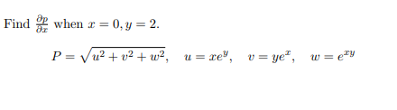
Question: Can you please explain? Find when a: = O, y = 2. P = u = reu, = yer , W z ery

Can you please explain?

Find when a: = O, y = 2. P = u = reu, = yer , W z ery
Step by Step Solution
There are 3 Steps involved in it
Get step-by-step solutions from verified subject matter experts
