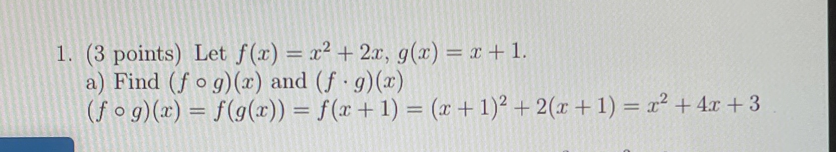
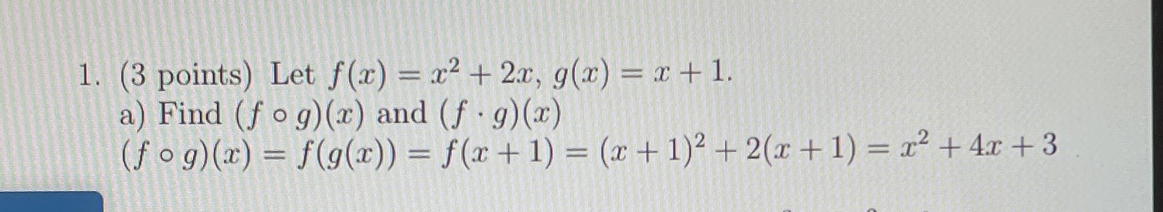
Question: Can you please explain from where did you get the 4x ? 1. (3 points) Let = + 2:r, g(:r) = a; + 1. a)

Can you please explain from where did you get the 4x ?

1. (3 points) Let = + 2:r, g(:r) = a; + 1. a) Find (f o g)(:r) and (f g)@)
Step by Step Solution
There are 3 Steps involved in it
Get step-by-step solutions from verified subject matter experts
