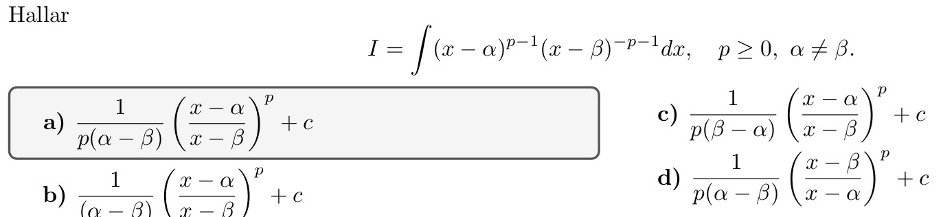
Question: Can you please help m e solve the following integral? Hallar I = ( x - ) p - 1 ( x - ) -
Can you please help solve the following integral?
Hallar
Step by Step Solution
There are 3 Steps involved in it
1 Expert Approved Answer
Step: 1 Unlock
Question Has Been Solved by an Expert!
Get step-by-step solutions from verified subject matter experts
Step: 2 Unlock
Step: 3 Unlock
