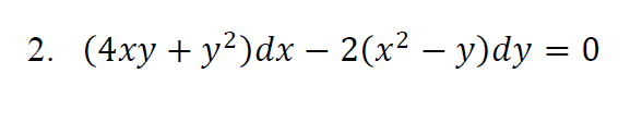
Question: Can you please help me find the general solution for this problem: ff2.5 LINEAR DIFFERENTIAL EQUATIONS This is a differential equation which is first order
Can you please help me find the general solution for this problem:




Step by Step Solution
There are 3 Steps involved in it
1 Expert Approved Answer
Step: 1 Unlock
Question Has Been Solved by an Expert!
Get step-by-step solutions from verified subject matter experts
Step: 2 Unlock
Step: 3 Unlock
