Question: Can you please help me with this calc 2 problem?? I'm really stuck and I'm getting different answers every time.. Detailed steps would help me
Can you please help me with this calc 2 problem?? I'm really stuck and I'm getting different answers every time.. Detailed steps would help me a lot...
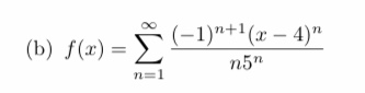
How can I find the power series, in the summation for and series form for f', f'', and ??f? ?? Can you also find interval of convergence for f, f ', f '', and ??f? ??



POWER SERIES FOR ELEMENTARY FUNCTIONS Interval of Function Convergence -= 1 - (x - 1) + (x - 1)2 - (x - 1)3 + (x - 1)4 - . . . + (-1)"(x - 1)" + . . . 0
Step by Step Solution
There are 3 Steps involved in it
Get step-by-step solutions from verified subject matter experts
