Question: Can you please provide a step-by-step explanation to solve the following question? Use DeMoivre's Theorem to find the indicated power of the complex number. Write


Can you please provide a step-by-step explanation to solve the following question?


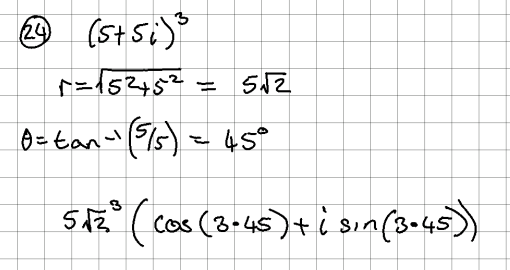
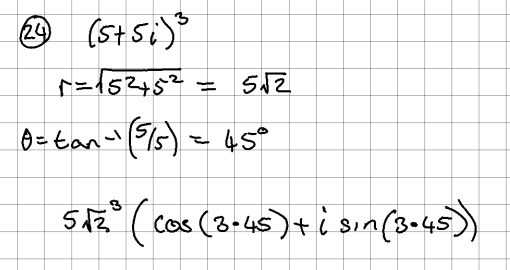
Use DeMoivre's Theorem to find the indicated power of the complex number. Write your answer in rectangular form. (5+ 5i)3
Step by Step Solution
There are 3 Steps involved in it
1 Expert Approved Answer
Step: 1 Unlock
Question Has Been Solved by an Expert!
Get step-by-step solutions from verified subject matter experts
Step: 2 Unlock
Step: 3 Unlock
