Question: Can you pls help me answer this? Can you pls fill up page 1 and page 2 for the graph? I submitted this earlier but






Can you pls help me answer this? Can you pls fill up page 1 and page 2 for the graph? I submitted this earlier but page 1 and 2 was not filled up. Please use the lab 5 as reference to answer this. I have provided lab 5 screenshot for your reference.







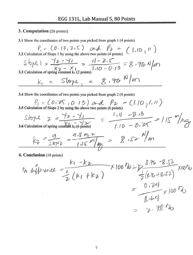
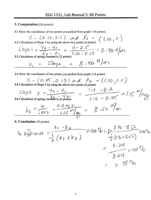
EGG 131L, Summer, Exam 3, 60 points Name: All the problems need to show the procedure used to get the final answers. 1. Refer to experiment 5 (35 points) Mass Attached Force Applied Displacement of Spring 0.2 kg 7.87 in 2 0.3 kg 14.2 in 3 0.4 kg 12.6 in 4 0.5 kg 22.8 in 5 0.6 kg 18.5 in 700 gm 72 cm 7 800 gm 79 cm 900 gm 91 cm 1000 gm 98 cm 10 1200 gm 120 cm (1) Applying the above data to find the spring constant by using the graphical method in two different theories. (2) Find the percentage difference between the spring constants obtained from two different theories.\fEGG 131L, Summer, Exam 3, 60 points Slope 1 = KI = Slope 2 = K1 = % difference = 2. Refer to experiment 6 (25 points) A student got the following measured values: the mass of the steel ball was 60 grams; the average value of h (the height of the metal block raised in method 1) was 4.0 cm; the y value (the height in method 2) was 100 cm; and the average x value (the distance in method 2) was 200 cm. Use the above information to find the mass of the metal block M in units of grams.EGG 131L, Lab Manual 5, 80 Points Lab Report 1. Purpose (8 points) To study Hooke's law and energy stoodin spring To determine the guere constant weary two methods 2. Data (8 points) # Mass Attached Force Applied Displacement of Spring 0.20 kg Z N 0.30 kg 3 N 16 am 3 0.40 kg 4 N 4 0.50 kg SN 40 cm 5 0.60 kg 6 N 54 em 0.70 kg 7 N 65 cm 7 0.80 kg ON 76, Zem 0.90 kg 8. 9 cm 1.0 kg 10 N 96.5 cm 10 1.2 kg IZ N 127 cm 4EGG 131L, Lab Manual 5, 80 Points 3. Graphs (28 points) FOTO ( N ) 1. Forces versus Displacements (Graph 1) 12 10 DO 4 2 O 0 DID 0.70 DDD 040 DAD DAD DAD DAD 0190 100 1.10 1:10 1130 displace (on )EGG 131L, Lab Manual 5, 80 Points 2. Displacements versus Masses (Graph 2) 1,20 1.00 0.60 0140 01 10 DID DOO DAD 050 0.40 0.70 DAD 040 1:00 1:10 1:20 1:30 moesee (kg )EGG 131L, Lab Manual 5, 80 Points 3. Computation (26 points) 3.1 Show the coordinates of two points you picked from graph 1 (4 points) P. = (0. 13, 215) and Pz = ( 1.10, "1 ) 3.2 Calculation of Slope I by using the above two points (4 points) shopel = 12 - 41 11- 2.5 .Xz - XI 3.3 Calculation of spring constant ki (2 points) 1.10 - 0.13 - 8.76 N/ K, = Slope, = 8.70 1/ m 3.4 Show the coordinates of two points you picked from graph 2 (4 points) P1 = (0. 75 , 0. 13 ) and Pz = (1. 10 , 1. 1 1) 3.5 Calculation of Slope 2 by using the above two points (6 points) slope 2 = 72 - 41 1,11 -013 3.6 Calculation of spring constant k2 (6 points) 1.10 - 0:25 = 1.15 / kg 918 me 2 - I Wuz 4. Conclusion (10 points) KI - kz 8.76 - 8.52 the difference X 100 20 = D- 2 ( kit KZ ) 7 ( 8.76 + 8 , 12 ) X100% 0124 8164 x 100 % = 7:78 2
Step by Step Solution
There are 3 Steps involved in it
Get step-by-step solutions from verified subject matter experts
