Question: can you solve it all in java please private DoubleNode next=null; private DoubleNode back=null; 1 2. Complete the class DoubleNode by adding the necessary methods.
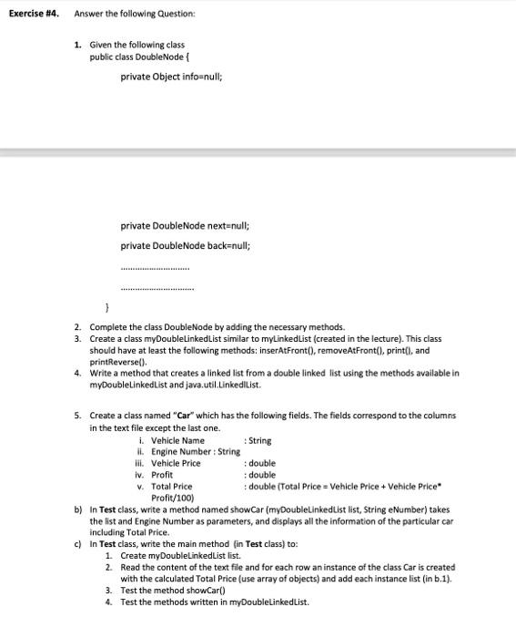
private DoubleNode next=null; private DoubleNode back=null; 1 2. Complete the class DoubleNode by adding the necessary methods. 3. Create a class myDoubleLinkedList similar to myLinkedList (created in the lecture). This class should have at least the following methods: inserAtFront(), removeAtFront(), print(), and printReverse(). 4. Write a method that creates a linked list from a double linked list using the methods available in myDoubleLinkedlist and java.util.LinkedlList. 5. Create a class named "Car" which has the following fields. The fields correspond to the columns in the text file except the last one. i. Vehicle Name : String ii. Engine Number : String lii. Vehicle Price : double iv. Profit : double v. Total Price double (Total Price = Vehicle Price + Vehicle Price* Profit/100) b) In Test class, write a method named showCar (myDoubleLinkedList list, String eNumber) takes the list and Engine Number as parameters, and displays all the information of the particular car including Total Price. c) In Test class, write the main method (in Test class) to: 1. Create myDoubleLinkedList list. 2. Read the content of the text file and for each row an instance of the class Car is created with the calculated Total Price (use array of objects) and add each instance list (in b.1). 3. Test the method showCar() 4. Test the methods written in myDoublelinkedList. private DoubleNode next=null; private DoubleNode back=null; 1 2. Complete the class DoubleNode by adding the necessary methods. 3. Create a class myDoubleLinkedList similar to myLinkedList (created in the lecture). This class should have at least the following methods: inserAtFront(), removeAtFront(), print(), and printReverse(). 4. Write a method that creates a linked list from a double linked list using the methods available in myDoubleLinkedlist and java.util.LinkedlList. 5. Create a class named "Car" which has the following fields. The fields correspond to the columns in the text file except the last one. i. Vehicle Name : String ii. Engine Number : String lii. Vehicle Price : double iv. Profit : double v. Total Price double (Total Price = Vehicle Price + Vehicle Price* Profit/100) b) In Test class, write a method named showCar (myDoubleLinkedList list, String eNumber) takes the list and Engine Number as parameters, and displays all the information of the particular car including Total Price. c) In Test class, write the main method (in Test class) to: 1. Create myDoubleLinkedList list. 2. Read the content of the text file and for each row an instance of the class Car is created with the calculated Total Price (use array of objects) and add each instance list (in b.1). 3. Test the method showCar() 4. Test the methods written in myDoublelinkedList
Step by Step Solution
There are 3 Steps involved in it
Get step-by-step solutions from verified subject matter experts
