Question: Case Study: THIRD AVENUE SOFTWARE HEALTH-CARE APP PROJECT The case provides an opportunity to apply agile and Scrum principles to project management. Each part of

Case Study: THIRD AVENUE SOFTWARE HEALTH-CARE APP
Case Study: THIRD AVENUE SOFTWARE HEALTH-CARE APP
Case Study: THIRD AVENUE SOFTWARE HEALTH-CARE APP
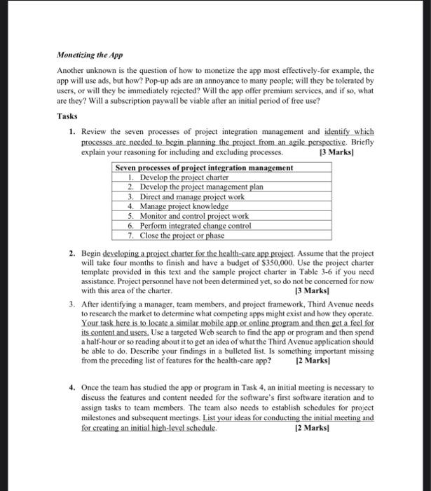
Case Study: THIRD AVENUE SOFTWARE HEALTH-CARE APP PROJECT The case provides an opportunity to apply agile and Scrum principles to project management. Each part of the case contains several task assignments to help you explore the use of agile and Scrum principles. If you have difficulty understanding a task assignment, please ask your instructor for assistance. Your instructor might be willing to look at the task solution and provide a hint to help you proceed. Part 1: Project Integration Management Third Avenue Software is a relatively young company that develops mobile applications for phones. The company is still trying to find its corporate identity and permanent footing; it has released several moderately successful products but is still looking for a best-seller. Likewise, the company is still trying to determine which internal systems work best for its employees. Project management is among these systems. The company has used a few agile principles in previous projects with some success; its new project will use agile and Scrum whenever possible. Many of Third Avenue's products thus far have been designed to serve niche markets, so the company's cofounders instructed their marketing staff and programmers to identify markets that have more universal customer appeal. A couple of programmers quickly turned their focus to the field of health care, which affects everyone directly or indirectly. The programmers drafted an idea for an app that could serve as a "one-stop shop" for customers' health-care information and needs. The app's name is to be determined, but it will contain the following features and information. Because Third Avenue knows from experience with agile projects that software complexity ratings can be useful for later time and cost estimates, management asked the programmers to include initial complexity estimates for each major feature set. These numbers are shown in parentheses and use a scale of 1 to 8: A fitness tracker that allows customers to record and track their blood pressure readings, cholesterol levels, exercise regimen, calorie intake, and other related information (3). A medication tracker in which customers can enter their medications and schedules for taking those meds. This "electronic pillbox" will contain a calendar that displays the customer's medication schedule and an alarm that sounds whenever it's time to take one of the medications (3) A physicians list that is essentially an electronic address book for the customer's health-care company, doctors, nurses, and physician's assistants. The list will include controls that allow customers to quickly incorporate existing entries from other contact lists in their phones (2). An emergencies list for storing vital phone numbers and addresses. This list will provide quick access to local in-network hospitals, urgent care clinics, and children or friends who can be relied upon to provide transportation in an emergency. As soon as the customer enters and saves an address, an interactive GPS map becomes available in a new window, with voice and text directions (6) An emergency information list in which customers store important information about themselves, such as medical conditions (e.g., the customer is diabetic), allergies, adverse reactions to drugs, and other personal information that a physician, nurse, or other concerned party might find useful in an emergency (2). Resources feature that lists links to other popular online health sites, such as WebMD. The customer will have the option to add links to the list (1). A payment feature that tracks the customer's medical expenses and allows customers to make medical payments through their phones (4). The budget for the project is $350,000, and Third Avenue management would like to see a finished application available in four months. Scrum will be the preferred approach to managing the project's development because Third Avenue wants a working version of the application quickly but does not yet know the full scope of the project. This working version will be released for review and testing well before the planned official release in four months. Remember that agile projects involve numerous iterations and software versions before the final release. These versions should be responsive to the concerns expressed by all stakeholders. For example, programmers assigned to the app's development might be needed to provide support for other company projects, and more functionalities might be added to the app after various stakeholders have had an opportunity to evaluate the first working version. Usability Usability will be extremely important, as customers will tend to be older than those who download and buy the majority of mobile apps. For example, the app will require a prominent control for increasing the text display size. Such controls are available in a phone's Settings feature, but many older users tend not to explore such "hidden" settings. The features mentioned above need to be immediately available and easily accessible when the app is launched. Another usability issue is crucial: How does the app balance customer privacy against the need to share some of the customer's information in an emergency? For example, the emergency information list might be of no use in a medical emergency if the customer's phone access is blocked by a password that only she knows. Taken as a whole, programmers give usability issues a complexity rating of 4 on a scale of 1 to 8 Monetizing the App Another unknown is the question of how to monetize the app most effectively-for example, the app will use ads, but how? Pop-up ads are an annoyance to many people; will they be tolerated by users, or will they be immediately rejected? Will the app offer premium services, and if so, what are they? Will a subscription paywall be viable after an initial period of free use? Tasks 1. Review the seven processes of project integration management and identify which processes are needed to begin planning the project from an agile perspective. Briefly explain your reasoning for including and excluding processes. [3 Marks Seven processes of project integration management 1. Develop the project charter 2. Develop the project management plan 3. Direct and manage project work 4. Manage project knowledge 5. Monitor and control project work 6. Perform integrated change control 7. Close the project or phase 2. Begin developing a project charter for the health-care app project. Assume that the project will take four months to finish and have a budget of $350,000. Use the project charter template provided in this text and the sample project charter in Table 3-6 if you need assistance. Project personnel have not been determined yet, so do not be concerned for now with this area of the charter. 13 Marks 3. After identifying a manager, team members, and project framework, Third Avenue needs to research the market to determine what competing apps might exist and how they operate Your task here is to locate a similar mobile app or online program and then get a feel for its content and users. Use a targeted Web search to find the app or program and then spend a half-hour or so reading about it to get an idea of what the Third Avenue application should be able to do. Describe your findings in a bulleted list. Is something important missing from the preceding list of features for the health-care app? 12 Marks 4. Once the team has studied the app or program in Task 4, an initial meeting is necessary to discuss the features and content needed for the software's first software iteration and to assign tasks to team members. The team also needs to establish schedules for project milestones and subsequent meetings. List your ideas for conducting the initial meeting and for creating an initial high-level schedule. 12 Marks

Step by Step Solution

There are 3 Steps involved in it

1 Expert Approved Answer
Step: 1 Unlock blur-text-image
Question Has Been Solved by an Expert!

Get step-by-step solutions from verified subject matter experts

Step: 2 Unlock
Step: 3 Unlock

Students Have Also Explored These Related General Management Questions!