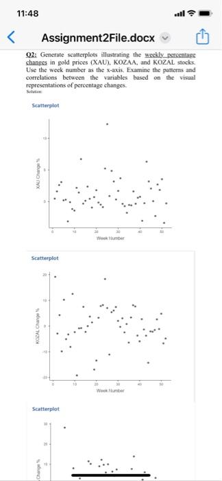
Question: Change % Scatterplot KOZAL Change % 10 Scatterplot < 11:48 Assignment2File.docx Q2: Generate scatterplots illustrating the weekly percentage changes in gold prices (XAU), KOZAA,
Change % Scatterplot KOZAL Change % 10 Scatterplot < 11:48 Assignment2File.docx Q2: Generate scatterplots illustrating the weekly percentage changes in gold prices (XAU), KOZAA, and KOZAL stocks. Use the week number as the x-axis. Examine the patterns and correlations between the variables based on the visual representations of percentage changes. XAU Change% WeekNumber Scatterplot Wook Number
Step by Step Solution
There are 3 Steps involved in it
Get step-by-step solutions from verified subject matter experts
