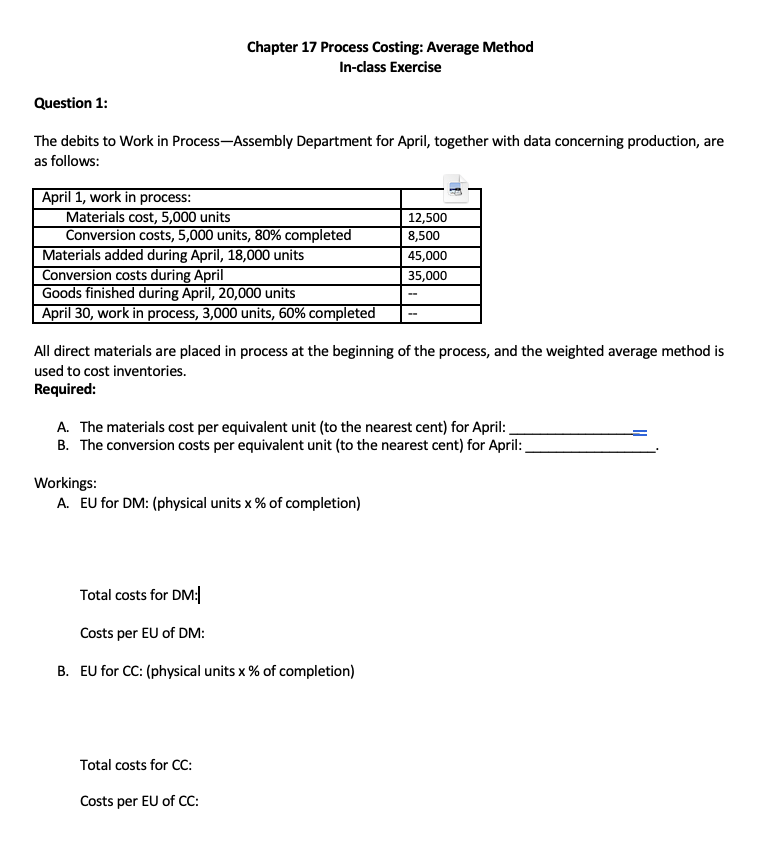
Question: Chapter 17 Process Costing: Average Method In-class Exercise Question 1: The debits to Work in Process-Assembly Department for April, together with data concerning production, are

Chapter 17 Process Costing: Average Method In-class Exercise Question 1: The debits to Work in Process-Assembly Department for April, together with data concerning production, are as follows: April 1, work in process: Materials cost, 5,000 units Conversion costs, 5,000 units, 80% completed Materials added during April, 18,000 units Conversion costs during April Goods finished during April, 20,000 units April 30, work in process, 3,000 units, 60% completed 12,500 8,500 45,000 35,000 All direct materials are placed in process at the beginning of the process, and the weighted average method is used to cost inventories. Required: A. The materials cost per equivalent unit (to the nearest cent) for April: B. The conversion costs per equivalent unit (to the nearest cent) for April: Workings: A. EU for DM: (physical units x % of completion) Total costs for DM:| Costs per EU of DM: B. EU for CC: (physical units x % of completion) Total costs for CC: Costs per EU of CC
Step by Step Solution
There are 3 Steps involved in it
Get step-by-step solutions from verified subject matter experts
