Question: Chapter 26 Checkpoint Solution Name Corn Doggy, Inc. produces and sells corn dogs. The corn dogs are dipped by hand. Austin Beagle, production manager, is
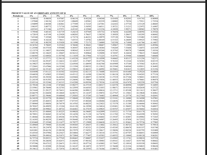
Chapter 26 Checkpoint Solution Name Corn Doggy, Inc. produces and sells corn dogs. The corn dogs are dipped by hand. Austin Beagle, production manager, is considering purchasing a machine that will make the corn dogs. Austin has shopped for machines and found that the machine he wants will cost $214,800. In addition, Austin estimates that the new machine will increase the company's annual net cash inflows by $33,000. The machine will have a 12-year useful life and no salvage value. Instructions (a) Calculate the cash payback period. (b) Calculate the accounting rate of return. (c) Calculate the machine's net present value assuming the cost of capital is 10%. (d) Calculate the machine's internal rate of return
Step by Step Solution
There are 3 Steps involved in it
Get step-by-step solutions from verified subject matter experts
