Question: Chapter 4 Name Integrated Project 4 i ve 10. On this current plan, when an Maurice expect to have his Sun Money candidat your answer

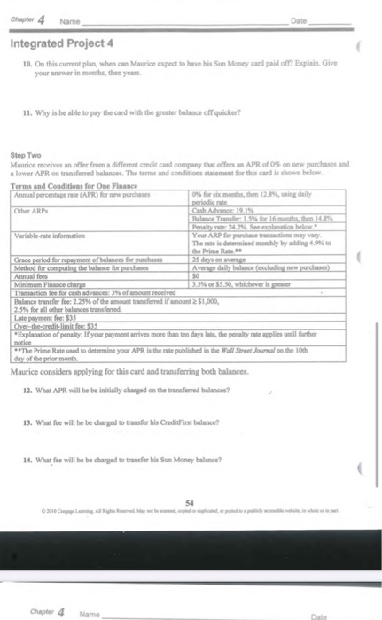
Chapter 4 Name Integrated Project 4 i ve 10. On this current plan, when an Maurice expect to have his Sun Money candidat your answer in months, the years 11. Why is het pay the card with the balance officer Step Two Merceives offer from different credit card company that offers APR lower APR med hence the condition e m for this is below Terms and Conditions for One Place Annual percentage rate (APR) for new purchases OLAR Cash A 1919 Balance Trans159 16 0 Penalty See on Your ARP for purchase tractions may vary Theme is determined monthly by adding u rchase Grace period for repayment of balances for purchases Method for computing the ance for purchase Average dabbalance exc Annual fees Minimum Finance charge 13: 5 Whichever is greater Transaction for cash advance received Balance transfer fee: 2.25% of the mount transferred famount 2 $1,000, 259 for all other balances transferred Layment for 35 Over the creditimi : 35 Explanation of penalty If your payment arrives more than ten days , the penalty ples wi ther h e 10th The Prime Kated to determine your APR is the rate published Wall S day of their month Maurice considers applying for this card and transferring both balances 12. What APR will he be initially charged on the transferred balances! 13. What fee will be be charged to transfer his Creditfirst balance 14. What fee will be be charged to transfer his Sun Money balance? 54 Chapter 4 Name Integrated Project 4 10. On this current plan, when can Maurice expect to have his Sun Money card paid off? Explain. Give your answer in months, then years. 11. Why is he able to pay the card with the greater balance off quicker? Step Two Maurice receives an offer from a different credit card company that offers an APR of 0% on new purchases and a lower APR on transferred balances. The terms and conditions statement for this card is shown below. Terms and Conditions for One Finance Annual percentage rate (APR) for new purchases 0% for six months, then 12.8%, using daily periodic rate Other ARP Cash Advance: 19.1% Balance Transfer: 1.5% for 16 months, then 14.8% Penalty rate: 24.2%. See explanation below. Variable-rate information Your ARP for purchase transactions may vary. The rate is determined monthly by adding 4.9% to the Prime Rate." Grace period for repayment of balances for purchases 25 days on average Method for computing the balance for purchases Average daily balance (excluding new purchases) Annual fees SO Minimum Finance charge 3.5% or $5.50, whichever is greater Transaction fee for cash advances: 3% of amount received Balance transfer fee: 2.25% of the amount transferred if amount $1,000, 2.5% for all other balances transferred. Late payment fee: $35 Over-the-credit-limit fee: $35 Explanation of penalty: If your payment arrives more than ten days late, the penalty rate applies until further notice **The Prime Rate used to determine your APR is the rate published in the Wall Street Journal on the 10th day of the prior month Maurice considers applying for this card and transferring both balances. 12. What APR will he be initially charged on the transferred balances? 13. What fee will he be charged to transfer his CreditFirst balance? 14. What fee will he be charged to transfer his Sun Money balance? 10. On this current plan, when can Maurice expect to have his Sun Money card paid off? Explain. Give! your answer in months, then years. 11. Why is he able to pay the card with the greater balance off quicker? Stop Two Maurice receives an offer from a different credit card company that offers an APR of 0% on new purchases and a lower APR on transferred balances. The terms and conditions statement for this card is shown below. Terms and Conditions for One Finance Annual percentage rate (APR) for new purchases 0% for six months, then 12.8%, using daily periodic rate Other ARPS Cash Advance: 19.1% Balance Transfer: 1.5% for 16 months, then 14.8% Penalty rate: 24.2%. See explanation below. Variable-rate information Your ARP for purchase transactions may vary. The rate is determined monthly by adding 4.9% to the Prime Rate.** Grace period for repayment of balances for purchases 25 days on average Method for computing the balance for purchases - Average daily balance (excluding new purchases) Annual fees Minimum Finance charge 3.5% or $5.50, whichever is greater Transaction fee for cash advances: 3% of amount received Balance transfer fee: 2.25% of the amount transferred if amount 2 $1,000, 2.5% for all other balances transferred. Late payment fee: $35 Over-the-credit-limit fee: $35 "Explanation of penalty: If your payment arrives more than ten days late, the penalty rate applies until further notice **The Prime Rate used to determine your APR is the rate published in the Wall Street Journal on the 10th day of the prior month Maurice considers applying for this card and transferring both balances. 12. What APR will he be initially charged on the transferred balances? 13. What fee will he be charged to transfer his CreditFirst balance? 14. What fee will he be charged to transfer his Sun Money balance? 54 2010 A Directions Read through the entire project before you begin doing any work. Maurice has two credit cards, each with a balance. Maurice realizes that he is in a dangerous financial position and has decided to stop using his credit cards. His plan is to pay the minimum balance each month for both cards and commits to finding a way to get out of debt quicker. Given below are the balances for each card on June 1 and their terms and conditions statements. CreditFirst: $967 Sun Money card: $7,312 Terms and Conditions for Credit First Annual percentage rate (APR) for new purchases 16.5%, using monthly periodic rate Other ARPs Cash Advance: 21.9% Balance Transfer: 15.6% Penalty rate: 22.9%. See explanation below." Variable-rate information Your ARP for purchase transactions may vary The rate is determined monthly by adding 5.9% to the Prime Rate." Groe period for repayment of balances for purchases 25 days on average Method for computing the balance for purchases Adjusted balance method, 30 day billing cycle Annual fees 550 Minimum Finance charge 12% or S1.50, whichever is greater Transaction fee for cash advances: 3% of amount received Balance transfer fee: 2.5% of the amount transferred Late payment fee: $25 Over-the-credit-limit fee: $35 Explanation of penalty: If your payment arrives more than ten days late, the penalty rate applies until further notice **The Prime Rate used to determine your APR is the rate published in the Wall Street Journal on the 10th day of the prior month Terms and Conditions for Sun Money Annual percentage rate (APR) for new purchases 15.2%, using daily periodic rate Other ARPS Cash Advance: 18.4% Balance Transfer: 15.6% Penalty rate: 23.9%. See explanation below." Variable-rate information Your ARP for purchase transactions may vary, The rate is determined monthly by adding 50 to the Prime Rate Grace period for repayment of balances for purchases 25 days on average Method for computing the balance for purchases Adjusted Balance Method 30 day billing cycle. Annual fees SO Minimum Finance charge 3% or $2.50, whichever is greater Transaction fee for cash advances: 2.5% of amount received Balance transfer fee: 2.5% of the amount transferred Late payment fee: $29 Over-the-credit limit fee: 3 "Explanation of penalty: If your payment arrives more than ten days late, the penalty rate applies until further notice The Prime Rate used to determine your APR is the rate published in the Wall Street Journal on the 10th day of the prior month Chapter 4 Name Integrated Project 4 i ve 10. On this current plan, when an Maurice expect to have his Sun Money candidat your answer in months, the years 11. Why is het pay the card with the balance officer Step Two Merceives offer from different credit card company that offers APR lower APR med hence the condition e m for this is below Terms and Conditions for One Place Annual percentage rate (APR) for new purchases OLAR Cash A 1919 Balance Trans159 16 0 Penalty See on Your ARP for purchase tractions may vary Theme is determined monthly by adding u rchase Grace period for repayment of balances for purchases Method for computing the ance for purchase Average dabbalance exc Annual fees Minimum Finance charge 13: 5 Whichever is greater Transaction for cash advance received Balance transfer fee: 2.25% of the mount transferred famount 2 $1,000, 259 for all other balances transferred Layment for 35 Over the creditimi : 35 Explanation of penalty If your payment arrives more than ten days , the penalty ples wi ther h e 10th The Prime Kated to determine your APR is the rate published Wall S day of their month Maurice considers applying for this card and transferring both balances 12. What APR will he be initially charged on the transferred balances! 13. What fee will be be charged to transfer his Creditfirst balance 14. What fee will be be charged to transfer his Sun Money balance? 54 Chapter 4 Name Integrated Project 4 10. On this current plan, when can Maurice expect to have his Sun Money card paid off? Explain. Give your answer in months, then years. 11. Why is he able to pay the card with the greater balance off quicker? Step Two Maurice receives an offer from a different credit card company that offers an APR of 0% on new purchases and a lower APR on transferred balances. The terms and conditions statement for this card is shown below. Terms and Conditions for One Finance Annual percentage rate (APR) for new purchases 0% for six months, then 12.8%, using daily periodic rate Other ARP Cash Advance: 19.1% Balance Transfer: 1.5% for 16 months, then 14.8% Penalty rate: 24.2%. See explanation below. Variable-rate information Your ARP for purchase transactions may vary. The rate is determined monthly by adding 4.9% to the Prime Rate." Grace period for repayment of balances for purchases 25 days on average Method for computing the balance for purchases Average daily balance (excluding new purchases) Annual fees SO Minimum Finance charge 3.5% or $5.50, whichever is greater Transaction fee for cash advances: 3% of amount received Balance transfer fee: 2.25% of the amount transferred if amount $1,000, 2.5% for all other balances transferred. Late payment fee: $35 Over-the-credit-limit fee: $35 Explanation of penalty: If your payment arrives more than ten days late, the penalty rate applies until further notice **The Prime Rate used to determine your APR is the rate published in the Wall Street Journal on the 10th day of the prior month Maurice considers applying for this card and transferring both balances. 12. What APR will he be initially charged on the transferred balances? 13. What fee will he be charged to transfer his CreditFirst balance? 14. What fee will he be charged to transfer his Sun Money balance? 10. On this current plan, when can Maurice expect to have his Sun Money card paid off? Explain. Give! your answer in months, then years. 11. Why is he able to pay the card with the greater balance off quicker? Stop Two Maurice receives an offer from a different credit card company that offers an APR of 0% on new purchases and a lower APR on transferred balances. The terms and conditions statement for this card is shown below. Terms and Conditions for One Finance Annual percentage rate (APR) for new purchases 0% for six months, then 12.8%, using daily periodic rate Other ARPS Cash Advance: 19.1% Balance Transfer: 1.5% for 16 months, then 14.8% Penalty rate: 24.2%. See explanation below. Variable-rate information Your ARP for purchase transactions may vary. The rate is determined monthly by adding 4.9% to the Prime Rate.** Grace period for repayment of balances for purchases 25 days on average Method for computing the balance for purchases - Average daily balance (excluding new purchases) Annual fees Minimum Finance charge 3.5% or $5.50, whichever is greater Transaction fee for cash advances: 3% of amount received Balance transfer fee: 2.25% of the amount transferred if amount 2 $1,000, 2.5% for all other balances transferred. Late payment fee: $35 Over-the-credit-limit fee: $35 "Explanation of penalty: If your payment arrives more than ten days late, the penalty rate applies until further notice **The Prime Rate used to determine your APR is the rate published in the Wall Street Journal on the 10th day of the prior month Maurice considers applying for this card and transferring both balances. 12. What APR will he be initially charged on the transferred balances? 13. What fee will he be charged to transfer his CreditFirst balance? 14. What fee will he be charged to transfer his Sun Money balance? 54 2010 A Directions Read through the entire project before you begin doing any work. Maurice has two credit cards, each with a balance. Maurice realizes that he is in a dangerous financial position and has decided to stop using his credit cards. His plan is to pay the minimum balance each month for both cards and commits to finding a way to get out of debt quicker. Given below are the balances for each card on June 1 and their terms and conditions statements. CreditFirst: $967 Sun Money card: $7,312 Terms and Conditions for Credit First Annual percentage rate (APR) for new purchases 16.5%, using monthly periodic rate Other ARPs Cash Advance: 21.9% Balance Transfer: 15.6% Penalty rate: 22.9%. See explanation below." Variable-rate information Your ARP for purchase transactions may vary The rate is determined monthly by adding 5.9% to the Prime Rate." Groe period for repayment of balances for purchases 25 days on average Method for computing the balance for purchases Adjusted balance method, 30 day billing cycle Annual fees 550 Minimum Finance charge 12% or S1.50, whichever is greater Transaction fee for cash advances: 3% of amount received Balance transfer fee: 2.5% of the amount transferred Late payment fee: $25 Over-the-credit-limit fee: $35 Explanation of penalty: If your payment arrives more than ten days late, the penalty rate applies until further notice **The Prime Rate used to determine your APR is the rate published in the Wall Street Journal on the 10th day of the prior month Terms and Conditions for Sun Money Annual percentage rate (APR) for new purchases 15.2%, using daily periodic rate Other ARPS Cash Advance: 18.4% Balance Transfer: 15.6% Penalty rate: 23.9%. See explanation below." Variable-rate information Your ARP for purchase transactions may vary, The rate is determined monthly by adding 50 to the Prime Rate Grace period for repayment of balances for purchases 25 days on average Method for computing the balance for purchases Adjusted Balance Method 30 day billing cycle. Annual fees SO Minimum Finance charge 3% or $2.50, whichever is greater Transaction fee for cash advances: 2.5% of amount received Balance transfer fee: 2.5% of the amount transferred Late payment fee: $29 Over-the-credit limit fee: 3 "Explanation of penalty: If your payment arrives more than ten days late, the penalty rate applies until further notice The Prime Rate used to determine your APR is the rate published in the Wall Street Journal on the 10th day of the prior month
Step by Step Solution
There are 3 Steps involved in it
Get step-by-step solutions from verified subject matter experts
