Question: CHEECK IF THE ANSWER IS CORRECT, EXPLAIN IF YES, EXPLAIN IF INCORRECT WHAT IS THE CORRECT ANSWER??? IM CONFUSE WHAT IS THE REAL ANSWER :(

CHEECK IF THE ANSWER IS CORRECT, EXPLAIN IF YES, EXPLAIN IF INCORRECT
WHAT IS THE CORRECT ANSWER??? IM CONFUSE WHAT IS THE REAL ANSWER :(
QUESTION:
Solve the following items on a clean sheet of paper.
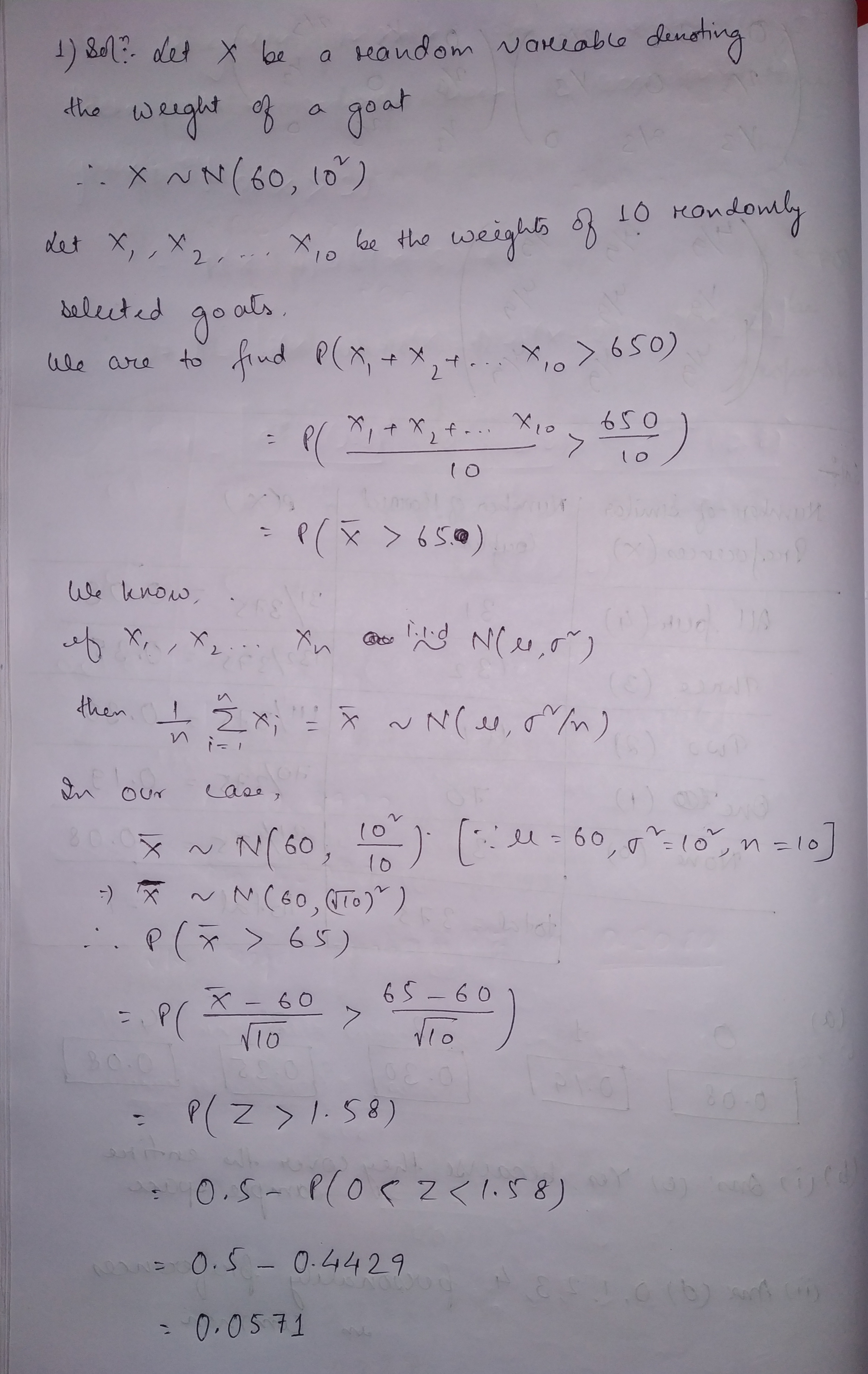
- The weight of goats at a farm is normally distributed with a mean of 60 kg and a standard deviation of 10 kg. A truck used to transport goats can only accommodate not more than 650 kg. If 10 goats are selected at random from the population, what is the probability that the total weight exceeds the maximum weight?
ANSWER #1


1) 801? Let X be a reandom variable denoting the weight of a goat .. X NN ( 60, 10 ) det X,, X, ... X, be the weights of to randomly selected goats. We are to find ? ( X , + X , + ... X , > 650 ) X, +x, f... Xlo. 650 10 10 = P ( x > 65.@) (x) 0) ? We know, ( 8 ) BAND In then. L J X; = X ~Ne, 5 mm) 1 = 1 (5 ) CWD In our case 80.07 N. N / 60, 10 ) : 1= 60, 17: 10 #, n = 10) - ) X NN ( GO , (TO ) " ) P ( X > 65 ) X - 60 65- 60 VIO 80.0 52 .0 = P ( Z > 1 . 58 ) 80.0 RUN= 0.5- 0.4429 = 0. 05 711. ) The provided information are, M = GO, 0= 10 n = 10 P (Ex > 650) = ? EX VN ( NX = n.M, ox = n2 ) EX V N ( M2 = 600, Ox= 100) P ( 2 x 7650 ) = P Ex- MX 650- MX ox F P / Z Z 650 - 600 100 - P ( 2 7 0 . 5 ) = 0 - 308 5 1 7 From statistical table 76 - 3085
Step by Step Solution
There are 3 Steps involved in it
Get step-by-step solutions from verified subject matter experts
